BOOK OF MILLENNIUM 3

- Author: Physicist Ion Murgu From OHIO USA

old

America Earth Proud Day Fundamentals.
2015 EARTH Galactic Science Songs
2015 USA Galactic Science Songs
Reverberate In All Universe Eternal
America Earth Proud Day Fundamentals as I been soo Proud of Results

Published in 2016 on lifeclimatic . com as InfinityDivergentConjecture.pdf

Under Humanity Natural Law Of Copyright
USA ISBN-978-1-63972-043-9
© by and before 2015 September 24
free for Education and Science

Book which cost you 2 coffees= 1 You - 1 Author = if have money for?
A N D it bring hope for Good Morning Future!
If you Think have a merit, can send My Coffee via E_Mail mmnoi@climaticdisorder.com. Surplus will be use to build our site ClimaticDisorder_DOTCOM.



Known also as - USA 2015 AEPDF - or short - AEPDF -
All USA2015AEPD are Fundamentals Science Bases Unknown Until 2015 and Knowledge Labyrinth Extractions.
ETERNAL FUNDAMENTAL SCIENCE ABSOLUTE TRUTH VALUES.





Introduction



Maybe first Fundamentals Science which wear quality
Eternal Fundamental Science Absolute Truth Values - EFSATV
and for sure are also Science Fundaments as will see.
USA AEPDF started around of 1977-78 from a Quantum Problem - Fields Space Dependency - which now can be translate as
Quantum Symmetry Or - And Asymmetry
As then I made a calculus error, woek for restarted in USA in 2015 , and was a complete succes, like , God wish as this worl to be an USA Science And Culture Victory. On Internet debuted also in 2015 as important discovery,
Math Millennium Equations
know also as :
Mathematics Millennium Equations
Integers Powers Fundamental Equations
named maybe in 2016, because of its importance for Science and of the fact was unknown until 2015
USA Murgu The Lost Fundamental
THE LOST Fundamental
But all debut maybe at the end of 2015 or begining of 2016 on Google-Youtube as
America Earth Proud Day Fundamentals
and soon also on lifeclimatic.DOTCOM (I lost in time this site) as
Infinity Divergent Conjecture
InfinityDivergentConjecture.pdf
Infinity Divergent Conjecture idea, maybe a good idea to follow , but I give up as have enough work to make yet for AEPDF.
For My point of view - Quantum problem was solved - but will wear a complete solution maybe in 300 years. Thanks , to My familly wich supported My dizzy state as for more than 40 years My logical sate was Disorder , as My first unsucces in until 2015.
Forgive My Honesty leak as I consider AEPDF
New Logical Science Alphabet Base
and have all rights to be considered
Galactic Science Absolute Tops
Earth Galactic Science Contribution
USA Galactic Science Contribution
For Sure USA2015AEPDF , AEPDF will be an
Humanity Science And Culture Basic.
Started from Physics and brought for a Science Fiction Theme - until prov contrary - INERTON , which debuted also on Google Youtube (as USA2015AEPDF tried to keep Google and Google Yotube priority for ), as
Ion_Murgu_CUTAndPT_345Resonator



USA AEPDF
America Earth Proud Day Fundamentals AND
Results UNDER USA Intellectual Property
1. Integers Powers Fundamental Equations, now The Lost Fundamental.
USA Murgu The Lost Fundamental
2. The Lost Fundamental Operator.
God Equations Of Balance
3. God Equations Of Balance.
Murgu The Lost Fundamental Operator.
4. Double False Redundancy Of Truth.
Murgu Double False Redundancy Of Truth.
5. Fermat Murgu Impossible Equations , Fermat's Last Theorem Unique Solution.
Fermat Murgu Impossible Equations .
6. Euler - Murgu Equations 1 Equal 1.
Euler - Murgu Equations 1 Equal 1
7. Fermat's Last Theorem Geometric Solution.
Fermat's Last Theorem Geometric Solution
8. Pythagoras Theorem as Fermat's Last Theorem Blessed Except.
Pythagoras Theorem as Fermat's Last Theorem Blessed Except
9. Murgu Quadruplets.
USA Murgu Quadruplets
10. Fermat Equations as Irrational Integrators fulfill Real Numbers Math Space.
Fermat Equations as Irrational Integrators
11. Murgu Series Identities.
Murgu Series Identities
12. Ion Murgu Circles Paradox, a beauty Of Paradoxes.
Even if been obtained from work to AEPDF, those will be treated separated in proper material.
13. Murgu Integers Cubic Dispersion Formula. Important in Analytic.
Murgu Integers Cubic Dispersion Formula
PART I
Part II will contain
14. Murgu Infinity In One, Murgu Series Identities as Irrational Field Descriptors Integrate Irrationals.
15. Fermat - Murgu Theorem as future Mathematics Millennium Problem.
16. Murgu Powers Functional Identities including God Ecuations Of Balance.
17. 2 2015 USA AEPDF or "Amaerica Earth Proud Day Fundamentals" as Fundamental Science Base(Science Fundamental Base).
18. Ion Murgu Circles Pradox.
19. Inerton. An AEPDF Science Fiction Theory Until Prov Contrary.



Murgu The Lost Fundamental

Unknow Until 2015
Eternal Best Galactic Science Knowledge Labyrinth Extraction

Natural Placed Itself at The Base Of Science Base
and for sure will get rights of Operator in High Level Science
The Lost Fundamental Operator




Murgu - THE LOST FUNDAMENTAL
Started from Analytic study of Powers to Discover any hide Properties of Powers, which return real importance for all Science as Multiply, Divisions and then Powers stand at base of Math Science and even Science.
Result was published on Internet , first as
Math Millennium Equations
then soon as
Mathematics Millennium Equations
and after any time as becomes aware about real importance
Integers Powers Fundamental Equations.
But those equations are fundamentals which placed themself at the base of Fundamental Science, then can be named
THE LOST FUNDAMENTAL .
and with you accept and to strong Humanity Human Legacy(at the last as Intelligence)
Murgu - THE LOST FUNDAMENTAL .
or as Math Beauty
Infinity in One
How Important are?
Near of Instantly, using adequate Math Method, Fermat Murgu Impossible Equations , SENT
Fermat's Last Theorem - FUNDAMENTAL
lightening near of 400 years of research for - Fermat's Last Theorem and with tools resulted from and your accepted brougth
Murgu - Fermat's Last Theorem Addition.


THE LOST FUNDAMENTAL

or Ion Murgu - Integers Powers Fundamental Equations
had first aproach around of '75-'76 when calculus error, avoided the chance to be Discovered then. First Method for geting Proof for existence, will be Explained Down.
This started using a intuitive schema for general case, but then I worked directly with powers, testing it for particular cases for n=2,n=3,n=4,n=5,n=6 as powers. Then, I make any calculus mistake for any powers, and was thinking schema isn't validated for general cases.
But in early of 2015 I returned to calcul for the same powers and noticed My old Table Schema was answering positive to may intuition.
Down will present it and 2 Example for powers 4 and 5. (I did it also for 6 and 7 )


Tn (T+1)n (T+2)n (T+n-1)n (T+n)n
(T+1)n-Tn (T+2)n-(T+1)n (T+3)n-(T+2)n (T+n)n-(T+n-1)n
dif. of superior terms dif. of superior terms dif. of superior terms
dif. of superior terms dif. of superior terms
n!

Working Table Schema.
This was starting ideea, and n! was introduced now , as know the result.
Then I made any errors in calculus, but I return in 2015 and recalcul for powers 3,4,5,6. Down will be any examples.


16812566251296
65175369671
110194302
84108
24

24 is also 4!
Power 4 Example.



 3125      7776      16807      32768      59049      100000                   
    4651      9031      15961      26281      40951                         
4380 6930 10320 14670
2550 3390 4350
840 960
120

Power 5 Example.
120 is also 5!.




GETTING FORMULA




What been waiting for, is proved, as remark I did it for n=2, n=3, n=4, n=5, n=6 and n=7, then not a motivation to exclude general case, and late on I make a software which proved it for n between 1 and 50.
Now is the time to remark
Murgu - The Lost Fundamental is IMPORTANT FOR SCIENCE
for Powers 2, 3 and maybe 4 and maybe into the future Power 5 also. This isn't for calcul powers. But Math will can use it in polinomials for superior powers also.
This started from Physics and get important isues for. The Time will prov it.
For Mathematics proofs are only provocations for extracting any formulas. Then, I made second STEP, to get The Formula, and for it I keept the powers from first row as functions of I and n. We will do it for n=4 and 3(I did also for 5).
For general case is heavy to make a table schema, as there will appear Coeficints which depend of n as power but also by position in formula.
But, for every Power n is a Mathematic Symmetry which make it easy to get every coeficient. I make a Software ( a PERL program to get coefints for any power n, and one to proof future Formula for powers 2 to 50).
The Lost Fundamental Formula have importance for Science for Powers 2, 3 and maybe 4, but never know if into future will not evolve to 5,6 and 7. Then , returned to above tables using powers as expresions.




fTfT+1 fT+2 fT+3 fT+4
fT+1-fT fT+2-fT+1 fT+3-fT+2 fT+4-fT+3
fT+2-2*fT+1+fTfT+3-2*fT+2+fT+1fT+4-2*fT+3+fT+2
fT+3-3*fT+2+3*fT+1-fT fT+4-3*fT+3+3*fT+2-fT+1
fT+4-4*fT+3+6*fT+2-4*fT+1+fT

Table Explicative for power 4, how to get Formula.
Remark apparition of coeficients to last.


 T3      (T+1)3     (T+2)3      (T+3)3    
    (T+1)3-(T)3     (T+2)3-(T+1)3      (T+3)3-(T+2)3       
       (T+2)3-2(T+1)3+(T)3      (T+3)3-2(T+2)3+(T+1)3           
          (T+3)3-3(T+2)3+3(T+1)3-(T)3             

Table Explicative for power 3, how to get Formula.
Remark apparition of coeficients to last.
You can try for 5 or 6, I did.


For general cases a Table will be To big , but an atempt can be made(I did) as needed to see the Evolving Coefficients (seem to be a symmetric doubled Pascal Triangle).
Remind , Pascal Triangle was get from another Math Issue.
A Computing form is a easy procedure, because every superiors Coefficients are evolving also from the precedents.
Anyway , using above Table I get Murgu- The Lost Fundamental Formula for General Cases, for which correct name is
Murgu- The Lost Fundamental Equations
how is different for every power.




Murgu The Lost Fundamental


n=111
n=2121
n=3133 1
n=41464 1
n=515101051
n=61615201561
n=7172135352171
n=818285670562881
n=9 1 9 36 84 126 126 84 36 9 1
n=10 1 10 45 120 210 252 210 120 45 10 1
n=11 1 11 55 165 330 462 462 330 165 55 11 1
n=12 1 12 66 220 495 792 924 792 495 220 66 12 1
n=13 1 13 78 286 715 1287 1716 1287 715 286 78 13 1
n=1411491364100120023003343230032002100136491141
n=1511510545513653003500564356435500530031365455105151
n=16116120560182043688008114401287011440800843681820560120161
n=17117136680238061881237619448243102431019448 1237661882380680136171
n=18118153816306085681856431824437584862043758318241856485683060816153181
n=191191719693876116282713250388755829237892378755825038827132116283876969171191
n=201201901140484515504387607752012597016796018475616796012597077520387601550448451140190201
n=21121210133059852034954264116280203490293930352716352716293930203490116280542642034959851330210211

Power 2 To 21 - coeeficients table -
Using a Perl Program I get all coeficiants for powers 2 to 50 but To show until power 50 will make heavy this page.


Now we have Formula in the front of us, but also can be write it in two forms wich will bring in the front SIGN Problem for wich every Mathematician know how to deal. Strict decision about need maybe International meeting.



Form 1

  0
  ∑ [ (-1)m(kI,n)(T+I)n]= n!
  I=n

WHERE m IS ; FOR N ODD m=(I+1) , FOR N EVEN (m=I)



Form 2, inverse descend

  0
  ∑ [ (-1)m(kI,n)(T-I)n]= n!
  I=n

WHERE m IS ; FOR N ODD m=(I+1) , FOR N EVEN (m=I)

To avoid Sign Convention Problem , Murgu - Thel Lost Fundamental Equations General Formula can be write as:



Murgu The Lost Fundamental

OR AS




Murgu The Lost Fundamental

Both forms are valid , and demonstration is simple. We will do it if will see are not understood in time.
Used as Operators or in polynomials need care for m start as I or (I+1) as absolute value to be positive. But it will come with skil after used more times.
CARE FOR SIGNS WHEN USE Murgu The Lost Fundamental as OPERATOR.


For turn Back to Intro Click here




Murgu The Lost Fundamental OPERATOR
brought 2 Fundamentals Science, but also 12 Science Base Fundaments.




Murgu The Lost Fundamental OPERATOR can be used near of everywhere, but with care and responsibility. We noted it with Greek Letter
𝔖
and if will be contested will chose another.
It is Expresion an a truth
𝔖(X)n = n!   
demonstrated in proof Perl Program for power 2 to 50.
Murgu The Lost Fundamental OPERATOR can used in all Real Field with care .

About care I will offer an example from Murgu Quadruplets
Z3 - X3 = Y3 + W3  MQ.5.
Z3 + W3 = X3 + Y3  MQ.6.
In (MQ.5.), at first glance you get 0 = 12 and it becuse left and right sides are pure Integers and not powers 3 numbers.
Anyway can be used with success in polinomials by extracting any variables from correct identities like
𝔖(x)n = n!   
and then replace it into equation.
Will not solve but may help and as ESSENCE

we have equations expressed in multiple forms

In this material, Murgu The Lost Fundamental OPERATOR, will be used a lot and for Fermat's Last Theorem 2 times, one direct
𝔖(Xn) + 𝔖(Yn) - 𝔖(Zn) = n!   
and second via FMIE multiple times to symmetric neighbors of supposed solutions (X,Y,Z). as will see soon.
As example
𝔖((X-1)n) + 𝔖((Y-1)n) - 𝔖((Z-1)n) = n!   

Operation And Method wich Sent and make
Fermat's Last Theorem Fundamental

For turn Back to Intro Click here



God Equations Of Balance.
Include Murgu The Lost Fundamental as obtained from.




Murgu The Lost Fundamental OPERATOR come with Infinity Equations in One even wearing Science Issues in 2 Forms Absolute Truth Values.
    Murgu Infinity In One brought also Infinty to Infinty Equations with ScienceValue Absolute Truth as
Murgu Irrationals Integrators ,
Murgu Special Irrationals
Murgu Special Quadruplets
Murgu Quadruplets
and Murgu God Equations Of Balance.
Murgu God Equations Of Balance include Murgu The Lost Fundamental OPERATOR both forms and can be verry util in Polynomials and not Only.

To use Murgu The Lost Fundamental OPERATOR need any skill and here we will present a part of God Equations Of Balance.
𝔖(x + y)n = n!   
𝔖(x - y)n = n!    if (x - y) ≠ 0
𝔖(xn) + 𝔖(yn) =2 n!    but
𝔖(x + y)n = n!
𝔖(xn) - 𝔖(yn) =0    but
𝔖(x - y)n = n!
The Lost Fundamental Operator as Identitie need to be used with care, but for sure util in any polynomials, by using any proprieties, as.
𝔖(xn) = 𝔖(yn)
𝔖(xn) = n 𝔖(y(n-1))
𝔖(xn+1) = (n+1) 𝔖(yn)
𝔖(xn+1) + 𝔖(yn) = (n+2)n!
𝔖(xn+1) - 𝔖(yn) = (n-1)n!
AND MORE :
Important
God Equations Of Balance are pillars for Fermat's Last Theorem Unique Solution.




God Equations Of Balance
are part of USA 2015 AEPDF and are extracted from - Murgu Infinity In One - than are,
Infinity To Infinity
The name was a Reply to Imagination Beauty
Euler God Equation
Used with care as tools bring miracle for Equations and polinomials.
A equation of powers variables can wear now also new forms.


For turn Back to Intro Click here




Murgu Double False Redundancy Of Truth.




Murgu Double False Redundancy Of Truth institute Logic Logical check , review and control. Murgu Double False Redundancy Of Truth can be a big impact not only for Mathematic and Logic but for all Science.
Translated in a simple mode mean Any Equations In Physics, gen (y=ax)n or more complex may have possible form (iy=iax). That mean Math Relativity. We can't, yet, make a case for, right now, but a remark for future.

We will make Analyze for starting with Fermat's Last Theorem , then Fermat's Equations.
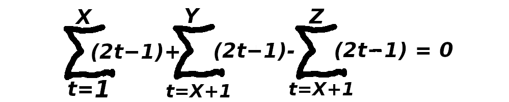
If Fermat's Last Theorem Equations have a solution into Integers
Xn + Yn - Zn = 0
(X,Y,Z) Integers Solution, Then Infinity (iX,iY,iZ)

Xn + Yn - Zn = 0
0, important then W Integers because around of Zero play any Conservations Laws, then let us to remark ,
Xn + Yn - Zn = W
can have multiple solutions into Integers (X,Y,Z,W)Integers. To return to Xn + Yn - Zn = 0
1 Solution In Integers then Infinity in(Xn + Yn - Zn) = 0
not simplify and then (iX,iY,iZ) Solutions.

It make an absolute rights to write
Murgu Double False Redundancy Of Truth Analytic Equations
Xn + Yn - Zn = 0 mdfr1
(i(Xn) + i(Yn) - i(Zn) = 0 ) mdfr2
(iX)n + (iY)n - (iZ)n = 0 mdfr3
but also
(1/i(Xn) + 1/i(Yn) - 1/i(Zn) = 0 ) mdfr4
(X/i)n + (Y/i)n - (Z/i)n = 0 mdfr5

Absurd or not , need to include mdfr1 as Integers possible solution and to remind
X2 + Y2 - Z2 = 0
are Fermat's Last Theorem Except.
Then if mdfr1 have a solution , Then Infinity, and mdfr2 come with Infinity Irrational Solutions.
mdfr4 mean in the same , every n-times multyply with any Integers brought a new Solutions including
Xn(Xn + Yn - Zn) = 0 mdfr6
Yn(Xn + Yn - Zn) = 0 mdfr7
Zn(Xn + Yn - Zn) = 0 mdfr8

mdfr6, mdfr7 and mdfr8 maybe don't say much here , but are important for Fermat's Last Theorem Unique Solution. Part two of this Analytic is for Rationals and Integers as any times may can fall in and bring
Euler Murgu Equations 1 Equal 1
for i equal
1/(Zn)
(X/Z)n + (Y/Z)n - 1 = 0 EME1E1
And we know EME1E1 CERTIFY Complet and accurate
Fermat's Last Theorem
Fermat's Last Theorem Unique Solution and Euler Murgu Equations 1 Equal 1 after it as imply a bit Double False Redundancy Of Truth.
As can see from both sides we started from absurd supositins and let we demonstrated FASLE, Then Double False , And Redundant folowin i those express a Truth - mean -




For turn Back to Intro Click here




Fermat's Last Theorem Unique Solution
Fermat Murgu Impossible Equations Method.




If Apply to Fermat's Last Theorem Equations MTLF Direct
𝔖Xn + 𝔖Yn - 𝔖Zn = n!
Function of which operator form apply we will get first or last component
{Xn + Yn - Zn = 0}
which for 3 components(X,Y,Z) implied, is impossible, but weird to demonstrate.
For a Component, can have a Term 0, but for 3 not but a clear demonstration is hard.
𝔖Xn can have a term 0 but for 3 is like
a + b - c =0
which into integer is clear possible. For our case a,b and c are Integers of form Tn , that intuitive is IMPOSSIBLE.

REPEAT, is there an unclerity, then I Chose another Logical Way
a Logical Analytic for symmetric neighbors of Supposed by Absurd
{Xn + Yn - Zn = 0}
Step 1:
{((X-1), (Y-1), (Z-1)); ((X-2), (Y-2), (Z-2)); ...} AND
{((X+1), (Y+1), (Z+1)); ((X+2), (Y+2), (Z+2)); ...} we will work only with
((X-1), (Y-1), (Z-1)); and ((X+1), (Y+1), (Z+1));
Step 2:
Apply adequate Operator (ascendend or descede)
𝔖(X-1)n + 𝔖(Y-1)n - 𝔖(Z-1) n = n!
𝔖(X+1)n + 𝔖(Y+1)n - 𝔖(Z+1) n = n!
Step 3:
for evryone , second component will be
n(Xn + Yn - Zn) = 0
Step 4 :
Logical Analytic for
n(Xn + Yn - Zn) = 0
passing of first impulse is
{(nn)X, (nn)Y, (nn)Z}
are also SOLUTIONS . and are IRRATIONALS .
This is already first sign of Impossible
Step 5:
If now apply for next symmetric (n-1) Neighbors into The Left and into The Right Will get 2(n-1) new KnI(Xn + Yn - Zn) = 0
for I between 2 and n. We started from a supposed
(Xn + Yn - Zn) = 0
NOW every conditional claim Irrationals Solutions . This Is IMPOSSIBLE when supposed
(Xn + Yn - Zn) = 0
claim fix values into Integers for (X,Y,Z)
That Mean




n neighbors into the left and n into the right will have one term of Operator Zero.
For sure there can be more then one term 0. To chose one
((X-1), (Y-1), (Z-1)); or ((X+1), (Y+1), (Z+1));
((X-1)= U, (Y-1)=V, (Z-1)=W); For Sure
(Un + Vn - Wn) = B Then
((U+1)n + (V+1)n - (W+1)n) = 0
Make one of them Impossible for powers n>2 . For Power 3 and even 4 we can show: Here for 3
U3+3U2+3U+1 + V3+3V2+3V+1 - W3-3W2-3W-1 =0
B+3U2+3U+3V2+3V-3W2-3W+1 =0
and in the same time for
((X+1)=T, (Y+1)=L, (Z+1)=F)
B-3T2+3T-3L2+3L+3F2-3F-1 =0
IMPOSSIBLE
Don't forgot we can Apply Murgu The Lost Fundamental Operator to groups (U,V,W) and (T,L,F) making abstraction of B as know
𝔖Un + 𝔖Vn - 𝔖Wn = n! AND
𝔖Tn + 𝔖Ln - 𝔖Fn = n!
Then C n,I (Xn + Yn - Zn) = 0
inside those operators mean POSSIBLE only IN IRRATIONAL.


But above relations mark clear
(Xn + Yn - Zn) = 0 Impossible into Integers .
(n(Xn) + n(Yn) - n(Zn)) = 0
Conditional coming for first neighbor express a TRUTH
(Xn + Yn - Zn) = 0
have solutions only in Irrationals. And for every Z are Infinity. Fermat's Last Theorem Solved
Unique Solution Murgu FMIE
As Reveal The Domain of Solutions for and now offer to
Fermat's Last Theorem absolute right of
SECOND Fundamental Science.





Down will follow any logical which lead to same results.




Double False Redundancy Of Truth bring more light on.
If a solution into Integers then Infinity
kn(Xn + Yn - Zn) = 0
(X,Y,Z) Integers Solution, Then Infinity (kX,kY,kZ)

For k#(l)n k(Xn + Yn - Zn) = 0
Solutions will be
Xnk , Ynk , Znk
That mean , even need a heavy logic ,
Solution into Integers Come from Irrationals or Integers to Irrationals
Both alternative are Equivalents.
That mean IF
(Xn + Yn - Zn) = 0
Solution in Integers Then Multiple Images in Irrationals
It make Euler Murgu Equations 1 Equal 1 an accurate and complete
Fermat's Last Theorem Certify




FMIE And Euler Murgu Equations 1 Equal 1 Make Fermat's Last Theorem
Second Science Fundamental
where for Physics Science Fundamental mean Science Fundament.
FMIE send Solutions In Irrationals (Infinity) and stand for Impossible Solution into Integers and Rationals.
DOWN is Demonstration




If luck back to mdfr6, mdfr7 and mdfr8, that mean also:
In(Xn + Yn - Zn) = 0


This bring Back to
(Xn + Yn - Zn) = 0
Remark Double False Redundancy Of Truth acting.

We told above, if (X,Y,Z) solution in Integers , then Infinity.
Important is Murgu The Lost Fundamental Operator Last or First Zero and more then that for n (X,Y,Z) symmetric neighbors of (X,Y,Z), on The Left and also In The Right will have one component Zero.
Then For Sure for every (IX,IY,IZ) will be THE SAME.
Is True,This do not can certify an Intersection point , which to auto exclude Integers From Solutions .

In Double False Redundancy of Truth we also saw
(1/In)(Xn + Yn - Zn) = 0

maybe valid as Solutins if Fermat's Last Theorem have one (X,Y,Z) Solution into Integers. That bring back Solution in aproching from Zero and increase chance for Intersection.
Important and absolute Truth now Murgu The Lost Fundamental Operator exclude solutions into Integers as also if I will be I=X or I=Y or I=Z then :
(Y/X)n - (Z/X)n + 1 = 0 EME1E1.1
(X/Y)n - (Z/Y)n + 1 = 0 EME1E1.2
(X/Z)n + (Y/Z)n - 1 = 0 EME1E1.3
and in the same time
IMPOSSIBLE
AS all 3 Equations need to be satisfied in THE SAME TIME.
To not speak about (X2n) or (Y2n) or (Z2n) and so on, all cases coming from .




Murgu The Lost Fundamental Operator Solved
Fermat's Last Theorem
AND Make
Fermat's Last Theorem
SECOND Fundamental Science.

FMIE using Murgu The Lost Fundamental Operator Claim as
(Xn + Yn - Zn) = 0
to have a solution into Integers ((X,Y,Z)-Integers) then also
n(Xn + Yn - Zn) = 0
Xnk , Ynk , Znk
This is also a refuse of (Xn + Yn - Zn) = 0 into Integers, and if follow back Double False Redundancy Of Truth Infinity Refuses.
This is important even for Murgu The Lost Fundamental - into Integers for 3 components do not accept 0 terms.

(Xn + Yn - Zn) = 0
Solution into Integer (see above), bring Infinity Absurd Solutions into Integers, as :
XnXn+XnYn - XnZn
XnYn+YnYn - YnZn
XnZn+ZnYn - ZnZn
and all combinations possible from .
But also (see Double False Redundancy Of Truth),
(X/Z)n + (Y/Z)n - 1 = 0 EME1E1
COMPARED with

(X/Z)2 + (Y/Z)2 - 1 = 0 EME1E1 for P=2
which lead my in maybe 1993 , 94, 95 , or 96 to a geometric solution in which I make a connection to Geometric Media , from which will return down. Now to use it to Explain FMIE once more time.




Murgu Identities Explain FMIE for Power 3.
FMIE via Murgu The Lost Fundamental Solved Fermat's Last Theorem
but for Science good will try to help FLT Proof also to EXTRACT all from NOW
SECOND Fundamental Science - Fermat's Last Theorem -




Via Fermat Murgu Quadruplets Table we get not only Zero not reach for Fermat Eq. ,
(X3 + Y3 - Z3) ≠ 0     in Integers an Rationals
but also can have ;
(X3 + Y3 - Z3) ≠3 or 4 or 5 or 13 ...
That mean FLT Proof took a demonstration way ,heavy ,and may be wrong as can demonstrate the path of elliptic.
(X/Z)2 + (Y/Z)2 - 1 = 0 EME1E1 AND
(X/Z)n + (Y/Z)n - 1 = 0 EME1E1
And work for Murgu Quadruplets lead My to Murgu Identities and Comparative Analytic for Power 3.
Murgu Identities we used for Power 3 and 2 and are:
(X+i+1)3 - 2((X+i)3 ) + (X+i-1)3 = 6(X+i)
For i=0 will Be (X+1)3 - 2((X)3 ) + (X-1)3 = 6(X)
Murgu Integers Cubic Dispersion Formula and
(X+1)2 -2((X)2) + (X-1)2 =2
Murgu Algebraic Power 2 Geometric Media
If for (X3 + Y3 - Z3) = 0
chose Y>X and Z>Y and Z>X wrote as
Y = X+a and Z=X +b a,b Integers b>a - can wrote
(X+a+1)3 - 2(Y3) + (X+a-1)3 = 6(X+a)
(X+b+1)3 - 2(Z3) + (X+b-1)3 = 6(X+b)
Then Fermat's Last Theorem for power 3 became
2(X3)+(X+a+1)3+(X+a-1)3-6(X+a)-(X+b+1)3 -(X+b-1)3+6(X+b)=0
Introducing 2(X3) from above Indentities
(X+1)3 +(X-1)3-6X+(X+a+1)3+(X+a-1)3-6(X+a)-(X+b+1)3 -(X+b-1)3+6(X+b)=0

This mean Any for Analytic. First in a childish analyze , but maybe TRUE -
6(X+b-a)=0 or a-b=X b-a=X
AND
(X+1)3 +(X-1)3+(X+a+1)3+(X+a-1)3-(X+b+1)3 -(X+b-1)3=0

That Impossible, like I said in 1994 or 95 or 96 .But that mean ALSO
(X+1)3 +(X-1)3+(Y+1)3+(Y-1)3-(Z+1)3 -(Z-1)3=0
or returning

(X+1)3 +(X-1)3+(Y+1)3+(Y-1)3-(Z+1)3 -(Z-1)3= 6(X+b-a) EQ.1.1.0

Instead of a CONSTANT as to assure a Geometric Media. For Powers 3 not longer a Geometric Media like for Power 2 may Be Possible.
(X+1)2 -2((X)2) + (X-1)2 =2
That mean Impossible




(X+1), (X-1) , and so for (Y+1), (Y-1) and (Z+1), (Z-1) are (X,Y,Z) neighbors we speak about. Now, If Apply Murgu The Lost Fundamental Operator to those neighbors for power 3, and extract every one, will get:
(X+1)3 = 3(X3) - 3(X-1)3 + (X-2)3 + 6
(X-1)3 = 3(X3) - 3(X+1)3 + (X+2)3 + 6
Making theirs summ
4((X+1)3 + (X-1)3) = 6(3(X3)) + (X-2)3 + (X+2)3 + 12
(Y+1)3 = 3(Y3) - 3(Y-1)3 + (Y-2)3 + 6
(Y-1)3 = 3(Y3) - 3(Y+1)3 + (Y+2)3 + 6
Making theirs summ
4((Y+1)3 + (Y-1)3) = 6(3(Y3)) + (Y-2)3 + (Y+2)3 + 12
(Z+1)3 = 3(Z3) - 3(Z-1)3 + (Z-2)3 + 6
(Z-1)3 = 3(Z3) - 3(Z+1)3 + (Z+2)3 + 6
Making theirs summ
4((Z+1)3 + (Z-1)3) = 6(3(Z3)) + (Z-2)3 + (Z+2)3 + 12
Then, Left Side Term of EQ.1.1.0 may be write as
4[((X+1)3 +(X-1)3+(Y+1)3+(Y-1)3-(Z+1)3 -(Z-1)3)] =
6(3(X3)) + (X-2)3 + (X+2)3 + 12 + 6(3(Y3)) + (Y-2)3 + (Y+2)3 + 12 - ( 6(3(Z3)) + (Z-2)3 + (Z+2)3 + 12)
into Integers and absurd or not X3 + Y3 - Z3 = 0

4[((X+1)3 +(X-1)3+(Y+1)3+(Y-1)3-(Z+1)3 -(Z-1)3)] =
6( (X-2)3 + (X+2)3 + (Y-2)3 + (Y+2)3 - (Z-2)3 - (Z+2)3 + 12)
(I hope not a callculus error , if is is small) We Get 3 Conditionals as
X3 + Y3 - Z3 = 0 into Integers for power 3
(X+1)3 +(X-1)3+(Y+1)3+(Y-1)3-(Z+1)3 -(Z-1)3= 6(X+b-a)   EQ.1.1.0

2[((X+1)3 +(X-1)3+(Y+1)3+(Y-1)3-(Z+1)3 -(Z-1)3)] =
3( (X-2)3 + (X+2)3 + (Y-2)3 + (Y+2)3 - (Z-2)3 - (Z+2)3 + 12)   EQ.1.1.1

( (X-2)3 + (X+2)3 + (Y-2)3 + (Y+2)3 - (Z-2)3 - (Z+2)3 + 12) = 4(X+b-a)   Eq.1.1.2

THEN:
(X+1)3 +(X-1)3+(Y+1)3+(Y-1)3-(Z+1)3 -(Z-1)3= 6(X+Z-Y)   EQ.1.1.0

( (X-2)3 + (X+2)3 + (Y-2)3 + (Y+2)3 - (Z-2)3 - (Z+2)3 + 12) = 4(X+Z-Y)   Eq.1.1.2

2[(X+1)3 +(X-1)3+(Y+1)3+(Y-1)3-(Z+1)3 -(Z-1)3] = 3[( (X-2)3 + (X+2)3 + (Y-2)3 + (Y+2)3 - (Z-2)3 - (Z+2)3 + 12)]   EQ.1.1.3


IMPOSSIBLE
AND WE CAN VERIFFY.
TAKE THE CALCUL FOR THE BEGINING OF THIS div , MAYBE I MAKE ANY ... SMALL ANYWAY.
Forgot
X3 + Y3 - Z3 = 0
Now we need to get it by there.
The Start 2[6X+2(X)3 +6Y+2(Y)3 - ...] ...
will lead us to
X3 + Y3 - Z3 = F(X,Y,Z) complicate dependence of (X)2, (Y)2, (Z)2 and (X,Y,Z)
Normal and Instead of F(X,Y,Z) = 0
We used a Time F(X,Y,Z) = 0 , then been waiting it as answer.
The Answer is IMPOSSIBLE.
Anyway, even not correct by now, but only for curiosity you can analyze it.
Maybe will meet Complex Solution
I Love Complex But Here is not the case.
X3 + Y3 - Z3 = 0 is, over all about, if Sum of 2 Numbers with any property can be equal with another one which wear same porop.

But now can bring any importance for Analytic in Math
F(X,Y,Z) = I    with I Integer
Fermat's Last Theorem Proof even atack this can't say any.
Fermat Murgu Quadruplets treat
F(X,Y,Z) = 1   
and brought which with your accept, I will Say
Murgu Quadruplets as New Math Beauty

Also can use there The Fact , Power 2 Linear Forms writin (Y=X+A) and (Z=X+B)
Power 2 Linear Form

as Plaing Math , as for Our Problem The Answer is definitely IMPOSSIBLE.
This incursion was to extract any new from Fermat's Last Theorem
We SOLVED It for General case via FMIE.




This incursion was to extract any new from Fermat's Last Theorem
We SOLVED It for General case via FMIE.

Maybe I make any small errors but not of essence , and I don't re ceck as My intention was only provocation for young Scientist to Luck back to Proof good part, and reopen.
You can see a function used in Proof and this time not including any Parameters.
We solved Fermat's Last Theorem via FMIE and also Euler Murgu Equations 1 Equal 1.


FMIE Sent Fermat's Last Theorem Solutions in Irrational
and Certify
Not Solutions in Integers and Rational.
FMIE and Euler Murgu Equations 1 Equal 1 but also
Murgu Fermat's Last Theorem GEOMETRIC SOLUTION
PLACE Fermat's Last Theorem Solutions into concentric Circles with Radius
Zn
excluding as all 3 (X,Y,Z) to be Integers or Rationals for any Value Z Integer or Rational.
Fermat's Last Theorem
get all rights for
Second Fundamental In Science .



For turn Back to Intro Click here




Euler Murgu Equations 1 Equal 1

Certify Fermat's Last Theorem
Clear and as Accurate Mathematic Method and Solution




Math Method AEPDF-FMIE Solved Fermat's Last Theorem and Sent solutions into Irrational. So long time we know it - Euler Murgu Equations 1 Equal 1 became a strong Certifier .



Euler Murgu Equations 1 Equal 1 started from Double False Redundancy Of Truth Eq.
(X/Z)n + (Y/Z)n - 1 = 0 EME1E1
Which Image (reflect) Fermat's Last Theorem on a Circles Radius Unity.
The Method will profit from EME1E1 as can be wrote also
(X/Z)n + (Y/Z)n = 1
then noting A=(X/Z)n and B=(Y/Z)n , get A + B = 1

Notes:
We already Know 1, or 2 or 3 variables of Fermat's Last Theorem are Irrationals and then need rearranged as Zn absolute value to be maxim one in equation ,
Ex: 23 + 33 = 35 - 35 is Zn.. but
33 - 23 = 19 ; 33 will be Zn
This in subunity will create a nice aspect: summ af a subunitary Irrational with a subunitary Rational equal 1.
For My this is a beauty which make to domains comunicative.

Now , if wrote (A + B = 1) as B = 1 - A then
[A + (1 - A)] = 1
This is Equation Of Truth because from Double False Redundancy Of Truth we know , if a Solution then Infinity
We brought it to a form what depend only by a subunitar Irrational and
{[A + (1 - A)] i= i } where i can be even A, {[A + (1 - A)] A = A }
Now function of power n , (n-1) multiplication will bring its form to a dependence An
To See and not forgot , not simplify AND (1 - A) represent B here

Power 2 - {[A2 + (A - A2)] = A }
Power 3 - {[A3 + (A2 - A3)] = A2 }
Power 4 - {[A4 + (A3 - A4)] = A3 }
Power 3 - {[A5 + (A4 - A5)] = A4 }
..........
Power n - {[An + (A(n-1) - An)] = A(n-1) }

For sure will say TO Easy , but not
This included years of work for and to assure correct logic.





But Euler Murgu Equations 1 Equal 1 not remark neither Pythagorean Triples. ???

That is the power of Euler Murgu Equations 1 Equal 1 , to show the motivation of rounding aroun 400 years. Pythagorean Triples are coming from Irrationals.




Pythagorean Triples are Fermat's Last Theorem Blessed Exceptions.
Pythagora Theorem Fermat's Last Theorem Blessed Except.




Pythagorean Triples are coming from Irrationals and now we know are exceptions and in the rest even Power 2 Pay Respect for Fermat's Last Theorem.
Power 2 - {[A2 + (A - A2)] = A }
can wear for exceptions form
{A(1- A) = A(1 - A)} -- AB=AB not every time mean simplify them. That say AB===BA
Asymmetry introduced by (1 -A) into Equation (A + (1 - A)) == 1 relative to Multiply and Simplify came with a Mathematical Logic answer
Simplify any times mean loss of an LOGICAL TRUTH.


as , (4 + 9 =13) now included in Fermat's Last Theorem
NOT the same with (8 + 18 = 26)
when are included into Science Essence Logical debates.




For Powers>2
{[An + (A(n-1) - An)] = A(n-1) }

A(n-1)(1 - A) = A(n-1)(1 - A) (Not Simplify)
not AB = AB (which lead a bite to Geometric Media), but are a subtle answers
For powers n>2 Fermat's Last Theorem Solutions can't eveolve from Irrationals to Rationals or Integers.
Euler Murgu Equations 1 Equal 1 Show its Math Beauty.
The above examlpe for power 2 may can be followed for every power.
But maybe the best method to understand it is a observation , (X/Z)n and (Y/Z)n are subunitary. Then can write now Euler Murgu Equation 1 Equal 1 as
(1/A + (1 - 1/A) = 1)
an artificial method used only as logic provocation, multiply with A
(1 + (A -1) = A) get back our Equation, Multiply now with (1/A)
(1/A + (1 - 1/A) = 1).
This example show clear into Scientifics logical processes need an good handling for Multiply and Simplify.
May be heavy, but in times can by relogic the effects.




For turn Back to Intro Click here




Fermat's Last Theorem Geometric Solution




Repeat FMIE and Euler Murgu Equations 1 Equal 1 solved Fermat's Last Theorem and
SENT IT AS Second Fundamental Science
but our interst is to extract as more can for.

Than here we are luking for any new and will see any small errors you can repair.
We are luking for Conditionals Equations , which may be utils for future.

Geometric Fermat's Last Theorem Solution started in 1994 or 95 from a simple observation and I can't say was complete then as not longer is on Internet but for sure I hit the base as I remind were using Geometric Media.
The observation was simple and had a correct base. As or if note:
Xn = A2 , Yn = B2 , Zn = C2
Can Wrote A2 + B2 - C2 = 0 ECF.2
As Logical corespondence into Pythagora Theorem , but I wasn't able then to demonstrate Pythagora Theorem is Fermat's Last Theorem Except .
We already spoke a bit about it above, but to repeat : Pythagorean Triples Pay Respect for Geometric Media as only and every Pythagorean Triple Group may need to confirm formula:
(A+1)2 + (A-1)2 + (B+1)2 + (B-1)2 - (C+1)2 - (C-1)2 = 2
Can Name It Pythagorean Triples Rule and come from Geometric Media identities:
(A+1)2 + (A-1)2 = 2(A)2 +2
(B+1)2 + (B-1)2 = 2(B)2 +2
(C+1)2 + (C-1)2 = 2(C)2 +2

Also need to know and accept logic , now real form for Fermat's Last Theorem Equations is
{Xn + Yn - Z = 0}
and for Power 2 A2 + B2 - C2 = 0 where
C2 any Time can be an Simple Integer W .
(Those can wear a second case but don't change solution.)
Returning to ECF.2 but in old form as don't know we need at the last one to be Irrational , now
A2 + B2 - C2 = 0 ECF.2
became or said
Xn/2 ,Yn/2 , Zn/2 = 0 Solutions
For n=2k this send us back to intial problem .




Infinity Repetition of coming back to base? , this is a face of
Double False Redundancy Of Truth
and offer absolute logical power to ALL This Material, even for our First Impossible
Murgu The Lost Fundamental Operator Applied to Fermat's Last Theorem REFUSE into Integers and Rationals a Zero Term.
FMIE is Key Method for Fermat's Last Theorem - as send direct to Solutions Domain.




A logical verification via Geometric Media for :
(Xn/2+1)2 + (Xn/2-1)2+(Yn/2+1)2 + (Yn/2-1)2- (Zn/2+1)2 - (Zn/2-1)2 =2

For n Prime Numbers >2 this is Impossible.
For Integers Divisible with 2
THE ANSWER
Subtle and hard to catch , is The Same as bring us back to Start.
Logic and Infinity Repetition For
For n Prime Numbers >2 this is Impossible.
May Be enough to say
Fermat's Last Theorem have also a Geometric Solution
But for n=3 , we demonstrated in FMIE Method using Murgu Integers Cubic Dispersion Formula Identities and Pythagorean Triples Geometric Media.




For Divisible with 2 , to exclude all doubth , can make analyse for n=4 .
Murgu Integers Quadratic Dispersion Formula is :
(X4+i + 1) + (X4+i - 1) - 2((X+i)4) =(12(((X+i)2))+2)

Dispersion Formula from Liniar Dependence for n=3 , A Constant for n=2 Pythagorean Triples Evolved to binomial Dependence .
Analytic of Murgu Integers Quadratic Dispersion Formula make IMPOSSIBLE into Integers and Rationals
(Xn + Yn - Zn) = 0
for n divisible with 2




And Make Geometric Solution accurate and correct
Fermat's Last Theorem solution
Beggin with 2015




Now became a need any remarks
Power 2 also a Dispersion formula
(X2+1)2 + (X2-1)2 -2(X2) =2
(X+i+1)2 + (X+i-1)2 - 2((X+i)2) =2
and can be compared now with Murgu Integers Cubic Dispersion Formula
(X+i+1)3 -2((X+i))3 + (X+i-1)3 =6(X+i)
AND Murgu Integers Quadratic Dispersion Formula
(X4+i + 1) + (X4 +i - 1) - 2((X+i)4) =(12(((X+i)2))+2)

Comparing right terms 2, 6(X+i) , (12((X2))+2)
may lead to future study as also valid arguments for Future Science Logic. Then




(X4 + 1) + (X4 - 1) - 2(X4) =(12((X2))+2)
Murgu Integers Quadratic Dispersion Formula
Became an Important Math Tool
But also Murgu Pythagorean Triples Conditional.
For Power 4 already exist a solution which confirm, but , Murgu Integers Quadratic Dispersion Formula can bring second one.





Murgu Pythagorean Triples Conditional.




Murgu Integers Cubic Dispersion Formula
Murgu Integers Quadratic Dispersion Formula
Murgu Integers Binomial Dispersion Formula
Applied Analytic to Geometric Media may solve the problem but I Insisted to all what is above to see, or to can see any aspects as :

For a Z Real , X,Y will be Infinity To Infinity (all field) and if Z is Integer or Rational and can be connected to any Pythagorean Triples those values are excluded. Then May Be Improper to connect Fermat's Last Theorem to any Eliptical or even modularity if luck at Dispersions Formulas. Maybe late will can speak about Functional Divergence.

Like I said in 2015 , best Pythagorean Triples Except from Fermat's Last Theorem are an Integer at Power 2 can have also a Linear Form. Second is Magic 2 ... (n2) .
But More important because can be implied in Fermat's Last Theorem ANALYTIC as to offer to Fermat's Last Theorem all Logical Rights as Second Fundamental Science is -
Murgu Pythagorean Triples Conditional.
Ideea for been coming form FMIE Method for Dispersions Analytic started with Power 3 , Then 4, and finaly 2. Using binomial Dispersion
(X+i+1)2 + (X+i-1)2 - 2((X+i)2) =2
only for X,Y,Z
(X2 + 1)2 + (X2 - 1)2 - 2 = 2(X2)
(Y2 + 1)2 + (Y2 - 1)2 - 2 = 2(Y2)
(Z2 + 1)2 + (Z2 - 1)2 - 2 = 2(Z2)
using Pythagorean Triples Formula multiplayed with 2
2(Xn + Yn - Zn) = 0
(X2 + 1)2 + (X2 - 1)2 - 2 + (Y2 + 1)2 + (Y2 - 1)2 - 2 -
((Z2 + 1)2 + (Z2 - 1)2 - 2 ) =0
We get simple but util .




Murgu Pythagorean Triples Conditional.
(X + 1)2 + (X- 1)2 + (Y + 1)2 + (Y- 1)2 - ((Z + 1)2 + (Z- 1)2 ) = 2
All Integers groups (X,Y,Z) to be a Pythagorean Triple Need to verify above Equation.
SIMPLE BUT UTIL.

But we have also Second Murgu Pythagorean Triples Conditional
To start from
U3 + V3 - W3 = 0
Need it to can work with all PNG's where are functions of X,Y,Z. Now need to see X,Y,Z as:
X = √Un  - Y = √Vn   - Z = √Wn
or Un = X2 and so on . Now :


Second Murgu Pythagorean Triples Conditional

Second Murgu Pythagorean Triples Conditional heavy to follow analytic maybe, but not Ipossible. There for general excluding power 2 by start a impossibility as X,Y,Z to be Integers as
Un = X2 ,    Vn = Y2 ,    Vn = Y2
If apply Murgu The Lost Fundamental Operator, first info are in Integers powers (odds) which never but we already did our job about Fermat's Last Theorem , in multiple forms, and and think we meet it, then may be absurd to follow another way when also this one show from now - Absurd.
Even if bring Second Murgu Pythagorean Triples Conditional to another form, which be exposed down, will show for Mathematicians Eyes. In fact real it is


3Th Murgu Pythagorean Triples Conditional
Murgu Pythagorean Triples Conditional Linear Form

Time To Know :
For USA_2015_AEPDF
Fermat's Last Theorem Interest is
to make it Fundamental Science (as have absolute rights for), Then an
Accurate and Correct SOLUTION
AND TO Extract All From Fermat's Last Theorem.

For turn Back to Intro Click here



Pythagoras Theorem - Fermat's Last Theorem Blessed Except.
Maybe best Jewel of USA_2015_AEPDF - but -- Maybe The Best
Double False Redundancy Of Truth Or Murgu Quadruplets .




    Pythagoras Theorem send us direct into Integers (Pythagorean Triples) . Also Murgu Pythagorean Triples Conditional the fact, that into Integers , any Integer at power 2 may can be write as a linear function




Power 2 Linear Form
Power 2 Linear Form

and Power 2 in Linear Form may explain Instantly Pythagorean Triples but can't be a motivation for FLT.
All those hide a fact:
Pytagorean Triples are Coming from Irrational.
Murgu Double False Redundancy Of Truth stand as a proof.
(25 + 16)= 41 stand as a proof also as show not all X2 and Y2 can be connected to another power 2 Integer Z2 .




Nothing Can't Contest
Every Pythagorean Triples have Infinity Images into Irrational.
This is a Science Top Knowledge Shadow Extraction
Poetic are The ways which UNITE 2 Worlds.




(X/√ 2)2 + (Y/√ 2)2 - (Z/√ 2)2 = 0
Murgu Pythagorean Triples Connector is only a Prov as those are Infinity, but but
Scientific a Science Equation which UNITE for Science 2 'Worlds'.




Science Shadow Extraction Murgu The Lost Fundamental
brought Science Base Jewels
Pythagoras Theorem - Fermat's Last Theorem Blessed Except.
is not The Last, more are coming.




Fermat's Last Theorem BEAUTY don't end here
As Second Fundamental Science can bring more LIGHT.






Murgu The Lost Fundamental make Fermat's Last Theorem FUNDAMENTAL.

Murgu The Lost Fundamental use for
Fermat's Last Theorem Analytic brought lots
Math and even Science Miracles - One is or are
Special Murgu Quadruplets - Murgu Quadruplets.


Those 2 Fundamentals (Murgu The Lost Fundamental and Fermat's Last Theorem Fermat's Last Theorem Fundamental) brought also any Mathematics New Tools for Science. For Sure : Double False Redundancy Of Truth , Euler-Murgu Equations 1 Equal 1 , God Equations Of Balance, Murgu Pythagorean Triples Conditional, Murgu Integers Cubic Dispersion Formula and .. will be there when needed.
Special Murgu Quadruplets are a result of play Analytic and build in Perl a program which to analyze
Z3 - X3 - Y3 = FminX,Y
Launch Fermat Murgu Quadruplets Analytic idea Table.
I named Fermat Murgu Quadruplets Analytic results for which
Z3 - X3 - Y3 = 1
Importants because are Special Murgu Quadruplets generators
Which, I hope became and brought for Linear Algebra New Future.
This Started from a deep analysis of Proof for n=3. I will say that all Fermat's Last Theorem treated as proof for every n are wrong, and for n=3 also
As can't proof for every I can inscribe a Murgu Quadruplet
Z3 - X3 - Y3 = I as I=Integer
and Proof Eliptics Path around 0 = Demonstration if Proof for all I which can follow 300- years.
because most of them are using Pythagoras Triples which AEPDF demonstrated are only Fermat's Last Theorem exceptions.

For n=3 , proof analyze using a PERL program for minimum function
Z3 - X3 - Y3 = FminX,Y
for Z =6 to 1200 , negatives value are for Z3 < (X3 - Y3)
and because we have interest into close approach of 0 from both sides.
The table is down and all Mathematicians can analyze even Elliptical Curves or Modular connection.
Anyway seem to not suggest any aproch for Elliptical patch.
Neither of Modular.





I make all this work to bring in Science and in Linear Algebra
Beuty and Real New Groups
and hope those will surpass now Pythagorean Triples Group.
Down the table of Perl Program results with mention I stoped at a limit of Computer Power.

6 6 3 -27 ** 7 6 5 2 ** 8 7 5 44 ** 9 8 6 1 ** 10 8 8 -24 ** 11 10 7 -12
12 10 9 -1 ** 13 12 8 -43 ** 14 12 10 16 ** 15 12 12 -81 ** 16 15 9 -8 ** 17 14 13 -28
18 16 12 8 ** 19 16 14 19 ** 20 18 13 -29 ** 21 18 15 54 ** 22 21 11 56 ** 23 20 16 71
24 20 18 -8 ** 25 22 17 64 ** 26 22 19 69 ** 27 24 18 27 ** 28 13 27 72 ** 29 26 19 -46
30 14 29 -133 ** 31 14 30 47 ** 32 30 18 -64 ** 33 28 24 161 ** 34 15 33 -8 ** 35 33 19 79
36 30 27 -27 ** 37 16 36 -99 ** 38 34 25 -57 ** 39 31 31 -263 ** 40 38 21 -133 ** 41 17 40 8
42 17 41 254 ** 43 41 22 -62 ** 44 18 43 -155 ** 45 18 44 109 ** 46 44 23 -15 ** 47 42 31 -56
48 40 36 -64 ** 49 47 24 2 ** 50 42 37 259 ** 51 48 28 107 ** 52 25 50 -17 ** 53 20 52 269
54 48 36 216 ** 55 26 53 -78 ** 56 21 55 -20 ** 57 21 56 316 ** 58 47 45 164 ** 59 56 31 -28
60 22 59 -27 ** 61 22 60 333 ** 62 59 32 181 ** 63 50 50 47 ** 64 23 63 -70 ** 65 58 43 6
66 23 65 704 ** 67 63 37 63 ** 68 30 66 -64 ** 69 24 68 253 ** 70 57 54 343 ** 71 31 69 -389
72 60 54 -216 ** 73 25 72 144 ** 74 66 49 79 ** 75 71 40 -36 ** 76 69 48 -125 ** 77 26 76 -19
78 73 44 351 ** 79 66 59 164 ** 80 64 63 -191 ** 81 27 80 -242 ** 82 34 80 64 ** 83 78 46 -101
84 70 63 -343 ** 85 77 54 128 ** 86 28 85 -21 ** 87 71 67 -171 ** 88 83 48 -907 ** 89 41 86 -8
90 83 54 -251 ** 91 86 49 -134 ** 92 88 46 -120 ** 93 37 91 133 ** 94 88 53 235 ** 95 91 47 -19
96 30 95 361 ** 97 77 77 -393 ** 98 48 94 16 ** 99 81 76 -118 ** 100 31 99 -90 ** 101 49 97 -21
102 45 99 -216 ** 103 94 64 -1 ** 104 50 100 -136 ** 105 32 104 -7 ** 106 98 63 -223 ** 107 51 103 -335
108 41 106 -225 ** 109 47 106 190 ** 110 33 109 34 ** 111 91 85 -65 ** 112 42 110 -160 ** 113 53 109 -1009
114 103 73 -200 ** 115 34 114 27 ** 116 43 114 -155 ** 117 101 83 -475 ** 118 112 62 -224 ** 119 103 84 -272
120 35 119 -34 ** 121 108 80 -151 ** 122 105 87 -280 ** 123 101 94 -18 ** 124 107 88 109 ** 125 36 124 -155
126 101 99 -224 ** 127 106 95 -8 ** 128 111 90 521 ** 129 111 92 370 ** 130 116 86 48 ** 131 37 130 438
132 123 76 125 ** 133 108 103 198 ** 134 117 93 134 ** 135 111 103 17 ** 136 38 135 209 ** 137 128 78 -351
138 132 69 -405 ** 139 116 104 -141 ** 140 39 139 -938 ** 141 49 139 -47 ** 142 134 77 651 ** 143 133 83 -217
144 71 138 1 ** 145 57 142 144 ** 146 40 145 -489 ** 147 121 112 34 ** 148 141 76 -405 ** 149 127 108 -146
150 73 144 -1 ** 151 126 113 -322 ** 152 41 151 -64 ** 153 74 147 -170 ** 154 52 152 -152 ** 155 125 121 -811
156 137 107 20 ** 157 71 152 174 ** 158 149 86 307 ** 159 131 121 27 ** 160 127 127 -766 ** 161 146 102 -63
162 43 161 -1260 ** 163 54 161 2 ** 164 156 85 403 ** 165 145 113 603 ** 166 141 121 -486 ** 167 135 130 88
168 63 165 -540 ** 169 44 168 -7 ** 170 153 110 423 ** 171 141 130 -10 ** 172 138 135 1 ** 173 159 105 413
174 164 95 -295 ** 175 45 174 226 ** 176 155 120 -99 ** 177 77 172 252 ** 178 82 172 -64 ** 179 163 112 -336
180 46 179 -675 ** 181 46 180 405 ** 182 73 178 -201 ** 183 151 139 -83 ** 184 176 92 -960 ** 185 171 110 414
186 59 184 -27 ** 187 179 93 -493 ** 188 68 185 -1385 ** 189 151 149 369 ** 190 161 139 100 ** 191 86 185 190
192 48 191 -575 ** 193 95 185 57 ** 194 185 99 -540 ** 195 174 129 162 ** 196 96 188 128 ** 197 77 193 -217
198 49 197 -630 ** 199 97 191 55 ** 200 62 198 -720 ** 201 71 198 298 ** 202 98 194 -168 ** 203 50 202 -1981
204 182 135 721 ** 205 181 139 -235 ** 206 188 128 -8 ** 207 171 157 -361 ** 208 189 131 -448 ** 209 198 111 -694
210 64 208 -56 ** 211 92 205 118 ** 212 87 207 -118 ** 213 195 131 631 ** 214 189 145 450 ** 215 65 213 153
216 199 130 97 ** 217 52 216 9 ** 218 75 215 -18 ** 219 181 166 -578 ** 220 66 218 272 ** 221 95 215 -1889
222 182 170 -520 ** 223 90 218 335 ** 224 53 223 980 ** 225 101 218 92 ** 226 191 166 1009 ** 227 77 224 1126
228 85 224 -1197 ** 229 54 228 -827 ** 230 68 228 216 ** 231 78 228 -513 ** 232 189 179 560 ** 233 213 144 -244
234 192 179 -323 ** 235 69 233 29 ** 236 55 235 6 ** 237 214 152 -99 ** 238 201 175 1296 ** 239 118 229 -102
240 80 237 -53 ** 241 227 132 470 ** 242 119 232 161 ** 243 215 164 -412 ** 244 199 188 1513 ** 245 107 238 -190
246 202 188 -144 ** 247 199 193 -433 ** 248 121 238 159 ** 249 235 135 -1 ** 250 72 248 -1240 ** 251 122 241 -118
252 223 170 441 ** 253 98 248 93 ** 254 212 190 -64 ** 255 222 178 575 ** 256 220 183 729 ** 257 224 179 -170
258 212 197 11 ** 259 116 251 -168 ** 260 232 172 384 ** 261 74 259 378 ** 262 59 261 -232 ** 263 242 159 -720
264 237 172 -757 ** 265 94 261 -540 ** 266 75 264 -523 ** 267 123 258 -216 ** 268 234 186 1072 ** 269 60 268 277
270 222 206 136 ** 271 232 195 468 ** 272 87 269 36 ** 273 245 178 540 ** 274 231 202 2025 ** 275 256 159 -20
276 236 199 -279 ** 277 77 275 525 ** 278 232 208 -1128 ** 279 122 271 -720 ** 280 261 161 -862 ** 281 246 194 -279
282 232 215 225 ** 283 260 172 739 ** 284 256 183 601 ** 285 133 275 -387 ** 286 227 227 -510 ** 287 269 161 1513
288 142 276 8 ** 289 63 288 -350 ** 290 257 195 -468 ** 291 143 279 325 ** 292 256 201 -729 ** 293 80 291 -414
294 242 224 272 ** 295 101 291 -97 ** 296 64 295 -183 ** 297 145 285 323 ** 298 254 216 -1168 ** 299 285 153 197
300 146 288 -8 ** 301 138 291 658 ** 302 65 301 -1918 ** 303 65 302 -106 ** 304 82 302 -512 ** 305 118 299 -1306
306 252 233 271 ** 307 284 182 -429 ** 308 104 304 -1216 ** 309 282 192 -27 ** 310 66 309 -125 ** 311 283 195 169
312 297 161 -26 ** 313 283 200 -890 ** 314 142 304 1392 ** 315 252 248 -125 ** 316 282 209 -601 ** 317 67 316 -246
318 262 242 216 ** 319 260 246 -1177 ** 320 97 317 314 ** 321 85 319 277 ** 322 292 204 -504 ** 323 299 191 -503
324 305 178 -153 ** 325 98 322 685 ** 326 108 322 16 ** 327 278 238 -441 ** 328 163 314 -2339 ** 329 295 215 539
330 272 251 101 ** 331 270 255 316 ** 332 265 262 15 ** 333 273 255 -1755 ** 334 165 320 -421 ** 335 110 331 -316
336 307 208 -299 ** 337 166 323 190 ** 338 88 336 -56 ** 339 70 338 747 ** 340 309 214 27 ** 341 324 178 -155
342 282 260 -80 ** 343 322 191 -512 ** 344 276 270 8 ** 345 329 176 560 ** 346 307 232 125 ** 347 71 346 2276
348 157 337 1546 ** 349 170 335 174 ** 350 103 347 350 ** 351 148 342 71 ** 352 171 338 -475 ** 353 72 352 -479
354 292 269 -333 ** 355 104 352 -197 ** 356 164 344 -512 ** 357 293 273 -881 ** 358 115 354 -27 ** 359 124 354 -209
360 105 357 -918 ** 361 73 360 864 ** 362 73 361 3030 ** 363 332 224 -1645 ** 364 146 356 -1608 ** 365 140 358 413
366 317 258 -629 ** 367 317 260 -150 ** 368 74 367 -55 ** 369 303 282 -486 ** 370 319 263 -206 ** 371 353 192 -54
372 118 368 -216 ** 373 94 371 -278 ** 374 174 361 -281 ** 375 75 374 -1124 ** 376 327 263 146 ** 377 119 373 2357
378 340 245 27 ** 379 95 377 -69 ** 380 322 278 800 ** 381 364 192 -91 ** 382 317 288 83 ** 383 76 382 -57
384 76 383 2241 ** 385 96 383 2 ** 386 110 383 -431 ** 387 314 300 1459 ** 388 333 278 83 ** 389 191 373 881
390 364 223 889 ** 391 122 387 20 ** 392 192 376 1024 ** 393 337 282 -64 ** 394 160 385 359 ** 395 193 379 879
396 123 392 1981 ** 397 98 395 -294 ** 398 194 382 440 ** 399 167 389 -133 ** 400 380 209 -1329 ** 401 195 385 -299
402 357 269 406 ** 403 134 398 -69 ** 404 353 280 287 ** 405 163 396 242 ** 406 79 405 252 ** 407 379 235 1329
408 189 394 3059 ** 409 100 407 -1214 ** 410 362 278 -1880 ** 411 365 275 2531 ** 412 376 256 -64 ** 413 80 412 -1531
414 334 323 -27 ** 415 391 227 -179 ** 416 395 218 1189 ** 417 343 318 674 ** 418 351 310 81 ** 419 337 328 -246
420 128 416 -448 ** 421 161 413 183 ** 422 184 410 944 ** 423 399 230 -1232 ** 424 174 414 -944 ** 425 129 421 475
426 373 294 1475 ** 427 408 215 -1204 ** 428 103 426 1249 ** 429 82 428 -531 ** 430 409 223 -496 ** 431 170 422 -1457
432 213 414 27 ** 433 397 265 2339 ** 434 104 432 72 ** 435 214 417 818 ** 436 150 430 -144 ** 437 83 436 -190
438 215 420 1297 ** 439 401 272 -330 ** 440 184 429 907 ** 441 159 434 -62 ** 442 377 320 255 ** 443 403 278 2528
444 143 439 -342 ** 445 401 287 21 ** 446 398 295 -631 ** 447 218 429 802 ** 448 393 308 -1177 ** 449 153 443 -1035
450 219 432 -27 ** 451 422 255 1028 ** 452 368 349 827 ** 453 216 436 125 ** 454 412 287 2233 ** 455 368 354 -1521
456 199 443 -90 ** 457 183 447 883 ** 458 146 453 99 ** 459 391 333 71 ** 460 425 274 -449 ** 461 86 460 125
462 124 459 1925 ** 463 215 447 -151 ** 464 378 358 4480 ** 465 191 454 90 ** 466 165 459 -8 ** 467 415 312 2860
468 411 321 540 ** 469 87 468 -26 ** 470 138 466 232 ** 471 158 465 -1826 ** 472 110 470 48 ** 473 126 470 441
474 446 261 307 ** 475 451 249 -225 ** 476 440 283 989 ** 477 88 476 -315 ** 478 236 458 -816 ** 479 220 463 1392
480 160 474 -424 ** 481 237 461 407 ** 482 447 283 358 ** 483 461 245 281 ** 484 217 469 -118 ** 485 112 483 610
486 89 485 2162 ** 487 390 383 416 ** 488 422 345 -801 ** 489 162 483 54 ** 490 129 487 1008 ** 491 453 294 -1090
492 391 390 17 ** 493 416 363 -286 ** 494 426 351 1457 ** 495 438 334 -1 ** 496 154 491 901 ** 497 428 354 -1143
498 470 270 -8 ** 499 243 479 353 ** 500 173 493 -874 ** 501 413 381 163 ** 502 91 501 936 ** 503 462 306 -217
504 414 385 -505 ** 505 426 372 1 ** 506 453 332 171 ** 507 132 504 -189 ** 508 447 347 -34 ** 509 203 498 810
510 92 509 83 ** 511 116 509 -294 ** 512 463 327 -902 ** 513 423 390 -270 ** 514 457 343 -856 ** 515 470 320 -125
516 414 405 27 ** 517 436 381 216 ** 518 93 517 -938 ** 519 482 303 64 ** 520 434 389 -2373 ** 521 433 392 1736
522 499 262 421 ** 523 480 319 1908 ** 524 118 522 -1856 ** 525 433 399 -811 ** 526 187 518 541 ** 527 149 523 -433
528 434 403 621 ** 529 220 516 -207 ** 530 161 525 594 ** 531 119 529 243 ** 532 150 528 -4184 ** 533 443 401 -71
534 246 516 -1728 ** 535 95 534 -304 ** 536 137 533 -134 ** 537 482 350 -1015 ** 538 496 323 -1331 ** 539 211 528 -1064
540 435 422 -323 ** 541 456 399 406 ** 542 495 336 -343 ** 543 152 539 380 ** 544 174 538 288 ** 545 507 316 286
546 502 331 637 ** 547 468 394 1107 ** 548 241 532 303 ** 549 519 295 -1585 ** 550 512 318 -160 ** 551 449 425 -323
552 256 533 -45 ** 553 466 408 369 ** 554 265 533 2402 ** 555 442 439 -1532 ** 556 515 328 1189 ** 557 202 548 -307
558 473 408 -17 ** 559 155 555 -871 ** 560 98 559 -2071 ** 561 223 549 -235 ** 562 250 545 703 ** 563 528 315 -280
564 464 430 1800 ** 565 476 417 236 ** 566 188 559 -55 ** 567 506 375 -4328 ** 568 543 285 -1700 ** 569 99 568 -722
570 237 556 1331 ** 571 511 375 2205 ** 572 530 337 -505 ** 573 466 443 -486 ** 574 490 415 -3151 ** 575 190 568 -57
576 284 552 64 ** 577 486 426 1 ** 578 100 577 519 ** 579 515 386 1208 ** 580 171 575 2414 ** 581 487 432 70
582 256 565 -1973 ** 583 534 358 -729 ** 584 192 577 -1217 ** 585 172 580 1177 ** 586 209 577 694 ** 587 236 574 -1477
588 484 448 2176 ** 589 496 435 -342 ** 590 173 585 -342 ** 591 475 463 349 ** 592 128 590 -1464 ** 593 225 582 -136
594 290 570 2584 ** 595 102 594 -917 ** 596 265 578 -1441 ** 597 291 573 1485 ** 598 570 306 1576 ** 599 129 597 -1063
600 292 576 -64 ** 601 506 444 -799 ** 602 148 599 3617 ** 603 566 336 1675 ** 604 103 603 -90 ** 605 103 604 3534
606 290 583 729 ** 607 214 598 1007 ** 608 575 326 361 ** 609 578 320 -2023 ** 610 527 432 -3751 ** 611 529 431 251
612 504 466 2168 ** 613 223 603 603 ** 614 150 611 1413 ** 615 505 470 -2250 ** 616 266 599 2001 ** 617 590 309 2484
618 564 384 -216 ** 619 306 593 -3814 ** 620 151 617 -64 ** 621 535 442 1798 ** 622 291 600 -323 ** 623 592 325 1554
624 594 322 -208 ** 625 167 621 101 ** 626 180 621 -685 ** 627 561 412 -1126 ** 628 309 602 2315 ** 629 581 375 873
630 202 623 225 ** 631 106 630 1575 ** 632 153 629 -3798 ** 633 581 386 740 ** 634 545 453 1802 ** 635 504 504 -253
636 564 427 -1171 ** 637 300 614 -691 ** 638 107 637 -5824 ** 639 525 488 -278 ** 640 107 639 1838 ** 641 297 619 -11
642 170 638 2216 ** 643 604 357 -450 ** 644 205 637 6 ** 645 589 400 -344 ** 646 231 636 289 ** 647 517 510 610
648 605 370 -333 ** 649 316 623 586 ** 650 281 632 991 ** 651 156 648 243 ** 652 216 644 128 ** 653 247 641 1133
654 225 645 -486 ** 655 318 629 -4246 ** 656 603 398 -603 ** 657 302 635 1910 ** 658 315 633 -1700 ** 659 615 377 171
660 609 395 -404 ** 661 218 653 -528 ** 662 585 448 511 ** 663 634 332 -225 ** 664 530 524 120 ** 665 243 654 4454
666 110 665 -2329 ** 667 291 648 1000 ** 668 188 663 -1287 ** 669 573 481 1151 ** 670 139 668 -251 ** 671 331 643 -687
672 559 505 -56 ** 673 631 377 -1007 ** 674 332 646 1520 ** 675 547 524 1728 ** 676 176 672 -448 ** 677 278 661 -1000
678 140 676 5976 ** 679 621 419 3719 ** 680 618 428 216 ** 681 290 663 -2006 ** 682 648 356 -1240 ** 683 650 353 10
684 296 665 -457 ** 685 112 684 693 ** 686 644 382 -4096 ** 687 640 396 -433 ** 688 552 540 64 ** 689 325 664 -300
690 658 352 4480 ** 691 276 676 -981 ** 692 619 455 854 ** 693 635 425 -943 ** 694 113 693 -70 ** 695 590 507 -468
696 634 435 557 ** 697 622 461 -5156 ** 698 627 454 -155 ** 699 143 697 -981 ** 700 619 473 -476 ** 701 333 675 -811
702 296 684 568 ** 703 273 689 -259 ** 704 114 703 3193 ** 705 207 699 783 ** 706 253 695 -836 ** 707 652 424 411
708 165 705 162 ** 709 318 687 694 ** 710 208 704 -1576 ** 711 196 706 79 ** 712 115 711 -2178 ** 713 269 700 1988
714 145 712 1591 ** 715 305 696 -286 ** 716 230 708 -216 ** 717 354 687 -2754 ** 718 629 495 668 ** 719 661 436 8322
720 355 690 125 ** 721 658 448 -343 ** 722 116 721 791 ** 723 683 390 2080 ** 724 614 529 -8009 ** 725 265 713 1403
726 687 388 3401 ** 727 681 409 1413 ** 728 591 564 -2863 ** 729 242 720 1 ** 730 338 705 -97 ** 731 251 721 -721
732 613 545 -1854 ** 733 634 518 901 ** 734 636 517 -965 ** 735 224 728 -2401 ** 736 148 734 -440 ** 737 636 523 430
738 244 729 -1 ** 739 696 405 -242 ** 740 225 733 538 ** 741 350 714 -323 ** 742 706 384 -432 ** 743 333 720 -1630
744 236 736 -1728 ** 745 226 738 3177 ** 746 215 740 -1439 ** 747 705 405 -27 ** 748 683 464 -339 ** 749 677 479 -1223
750 119 749 92 ** 751 150 749 2 ** 752 654 526 1168 ** 753 358 725 -3060 ** 754 706 425 -377 ** 755 712 411 -1784
756 680 490 216 ** 757 677 498 3368 ** 758 190 754 -552 ** 759 364 730 -65 ** 760 173 757 190 ** 761 606 602 -1143
762 728 384 -728 ** 763 700 466 251 ** 764 191 760 -127 ** 765 267 754 1898 ** 766 259 756 -99 ** 767 709 456 -1982
768 713 449 -1114 ** 769 121 768 216 ** 770 192 766 16 ** 771 733 401 -27 ** 772 220 766 -3448 ** 773 291 759 2267
774 636 591 297 ** 775 634 595 -604 ** 776 193 772 -129 ** 777 208 772 -1127 ** 778 122 777 -2329 ** 779 253 770 1862
780 685 535 2500 ** 781 670 560 541 ** 782 244 774 160 ** 783 718 479 216 ** 784 684 545 -1825 ** 785 695 529 -1639
786 669 571 -64 ** 787 644 604 4555 ** 788 123 787 -398 ** 789 733 460 232 ** 790 631 623 -4958 ** 791 678 568 -2513
792 309 776 883 ** 793 348 770 65 ** 794 196 790 -2352 ** 795 274 784 -1253 ** 796 659 602 -51 ** 797 266 787 -2926
798 751 439 322 ** 799 389 767 867 ** 800 706 543 1177 ** 801 758 428 137 ** 802 642 631 729 ** 803 736 492 -2117
804 157 802 -1035 ** 817 126 816 -359 ** 818 334 799 1329 ** 819 379 791 -351 ** 820 182 817 919 ** 821 366 796 1429
822 776 445 2547 ** 823 704 593 246 ** 824 752 512 -512 ** 825 242 818 -295 ** 826 127 825 -4032 ** 827 672 640 835
828 668 646 -216 ** 829 312 814 -1683 ** 830 264 821 -405 ** 831 685 632 1098 ** 832 737 560 -1185 ** 833 313 818 1808
834 755 531 3538 ** 835 161 833 57 ** 836 702 620 648 ** 837 307 823 43 ** 838 674 656 -1968 ** 839 351 818 2736
841 764 530 2577 ** 840 739 574 1357 ** 842 322 826 1464 ** 843 695 641 11 ** 844 717 615 1396 ** 845 257 837 279
846 129 845 -2078 ** 847 186 844 -1017 ** 848 413 814 2051 ** 849 205 845 -6201 ** 850 806 449 -465 ** 851 777 528 -334
852 235 846 -3403 ** 853 816 426 3205 ** 854 187 851 1610 ** 855 705 650 -1250 ** 856 130 855 -1359 ** 857 801 487 -911
858 741 608 3979 ** 859 719 640 820 ** 860 690 675 125 ** 861 747 605 -467 ** 862 346 843 5085 ** 863 237 857 801
864 426 828 216 ** 865 281 855 209 ** 866 131 865 -820 ** 867 753 608 874 ** 868 208 864 576 ** 869 755 609 -495
870 783 563 766 ** 871 757 610 -2782 ** 872 712 671 -991 ** 873 825 470 -8 ** 874 166 872 -1520 ** 875 387 849 1223
876 132 875 -467 ** 877 835 452 -2150 ** 878 785 578 -1025 ** 879 814 519 -64 ** 880 757 628 755 ** 881 345 863 -1431
882 167 880 -495 ** 883 294 872 -1645 ** 884 754 640 2040 ** 885 776 609 -980 ** 886 133 885 -306 ** 887 707 701 -1241
888 286 878 -2736 ** 889 783 606 1666 ** 890 802 574 168 ** 891 798 584 1675 ** 892 296 881 111 ** 893 335 877 449
894 436 858 6416 ** 895 388 870 3303 ** 896 134 895 -343 ** 897 737 685 -405 ** 898 343 881 -656 ** 899 860 449 -2150
900 438 864 -216 ** 901 298 890 109 ** 902 289 892 951 ** 903 454 863 2016 ** 904 566 823 1 ** 905 630 789 1556
906 135 905 -584 ** 907 245 901 3817 ** 908 420 877 -821 ** 909 231 904 -226 ** 910 460 869 91 ** 911 281 902 -818
912 398 886 -720 ** 913 450 875 1622 ** 914 171 912 1205 ** 915 553 842 810 ** 916 292 906 792 ** 917 136 916 4461
918 666 782 568 ** 919 490 870 -441 ** 920 548 850 -3592 ** 921 703 757 2941 ** 922 433 889 -658 ** 923 197 920 -2906
924 425 893 1442 ** 925 489 877 -3177 ** 926 430 894 -1208 ** 927 576 846 -729 ** 928 387 905 524 ** 929 403 903 -65
930 173 928 531 ** 931 646 813 558 ** 932 330 918 -64 ** 933 712 767 4446 ** 934 419 905 2820 ** 935 733 751 2787
936 483 891 -702 ** 937 605 844 244 ** 938 174 936 -208 ** 939 538 876 -6229 ** 940 373 920 883 ** 941 498 892 -659
942 340 927 -5095 ** 943 523 886 -316 ** 944 220 940 384 ** 945 348 929 -656 ** 946 527 888 281 ** 947 139 946 1968
948 522 892 2456 ** 949 462 911 1190 ** 950 289 941 -190 ** 951 568 878 -1233 ** 952 463 914 -3383 ** 953 434 922 -775
954 592 871 -335 ** 955 377 935 867 ** 956 550 891 -155 ** 957 140 956 677 ** 958 457 922 -3529 ** 959 750 772 -569
960 320 948 -3392 ** 961 359 944 3018 ** 962 555 896 117 ** 963 418 936 -4141 ** 964 701 820 1243 ** 965 360 948 4733
966 668 845 -61 ** 967 141 966 -854 ** 968 434 938 -944 ** 969 322 957 -532 ** 970 583 894 729 ** 971 733 805 5649
972 701 831 1756 ** 973 516 922 1773 ** 974 458 939 2493 ** 975 332 962 -12121 ** 976 663 861 2548 ** 977 271 970 -678
978 324 966 432 ** 979 772 782 2323 ** 980 205 977 2042 ** 981 284 973 2520 ** 982 659 871 -1322 ** 983 742 815 224
984 622 893 99 ** 985 365 968 5268 ** 986 726 832 -2288 ** 987 326 975 -548 ** 988 317 977 426 ** 989 525 937 1591
990 668 876 -8 ** 991 750 820 -729 ** 992 352 977 2447 ** 993 367 976 1618 ** 994 496 951 -1503 ** 995 514 947 8
996 540 940 -64 ** 997 368 980 -1059 ** 998 361 982 -57 ** 999 689 875 -1645 ** 1000 453 968 1091 ** 1001 487 961 -1983
1002 762 826 1304 ** 1003 735 849 1603 ** 1004 546 947 -1395 ** 1005 534 952 413 ** 1006 612 924 -1736 ** 1007 630 917 5130
1008 497 966 343 ** 1009 774 826 -1071 ** 1010 791 812 1 ** 1011 751 848 -612 ** 1012 513 966 -665 ** 1013 466 979 762
1014 771 836 -323 ** 1015 471 980 -736 ** 1016 694 894 -272 ** 1017 249 1012 -64 ** 1018 146 1017 -6217 ** 1019 146 1018 -109
1020 184 1018 664 ** 1021 381 1003 -1107 ** 1022 753 862 943 ** 1023 211 1020 -2764 ** 1024 654 926 -7216 ** 1025 382 1007 314
1026 780 846 -2160 ** 1027 586 959 2548 ** 1028 185 1026 -3249 ** 1029 383 1011 1171 ** 1030 421 1006 323 ** 1031 763 867 3481
1032 810 828 216 ** 1033 294 1025 128 ** 1034 468 1001 1071 ** 1035 398 1015 -5292 ** 1036 807 837 460 ** 1037 385 1019 1169
1038 606 964 512 ** 1039 440 1012 4591 ** 1040 148 1039 -111 ** 1041 386 1023 298 ** 1042 235 1038 1341 ** 1043 772 877 726
1044 419 1021 864 ** 1045 214 1042 -307 ** 1046 348 1033 -1793 ** 1047 365 1032 -1070 ** 1048 556 993 -3681 ** 1049 646 960 -1487
1050 511 1008 -343 ** 1051 149 1050 2702 ** 1052 374 1036 4328 ** 1053 444 1026 1917 ** 1054 545 1003 -188 ** 1055 350 1042 287
1056 589 991 4876 ** 1057 656 965 -348 ** 1058 440 1032 -1656 ** 1059 617 984 -638 ** 1060 311 1051 118 ** 1061 150 1060 -1019
1062 238 1058 1944 ** 1063 583 1001 -1241 ** 1064 352 1051 285 ** 1065 726 938 -1223 ** 1066 802 886 -568 ** 1067 217 1064 -694
1068 483 1034 541 ** 1069 239 1065 9965 ** 1070 407 1050 -1143 ** 1071 614 999 2368 ** 1072 736 941 -629 ** 1073 354 1060 -1847
1074 345 1062 -729 ** 1075 839 867 -7207 ** 1076 699 967 3814 ** 1077 611 1007 -2941 ** 1078 747 942 -3059 ** 1079 191 1077 4635
1080 695 974 -799 ** 1081 837 878 2036 ** 1082 241 1078 -705 ** 1083 365 1069 153 ** 1084 672 990 -2744 ** 1085 260 1080 1125
1086 502 1049 -2601 ** 1087 592 1025 190 ** 1088 348 1076 2304 ** 1089 649 1006 304 ** 1090 375 1075 -2250 ** 1091 419 1070 -6488
1092 841 891 -604 ** 1093 606 1027 -342 ** 1094 841 894 -1721 ** 1095 634 1019 2412 ** 1096 482 1064 2424 ** 1097 501 1061 -1809
1098 293 1091 2864 ** 1099 776 951 -628 ** 1100 636 1024 -1280 ** 1101 319 1092 854 ** 1102 307 1094 181 ** 1103 544 1057 -1650
1104 512 1066 -360 ** 1105 154 1104 7497 ** 1106 656 1023 -567 ** 1107 786 955 512 ** 1108 465 1080 -4913 ** 1109 245 1105 -721
1110 264 1105 -1369 ** 1111 531 1069 -2169 ** 1112 579 1057 196 ** 1113 576 1059 -1458 ** 1114 536 1071 -2023 ** 1115 155 1114 2456
1116 816 946 -136 ** 1117 879 894 190 ** 1118 796 963 349 ** 1119 224 1116 -161 ** 1120 669 1034 2387 ** 1121 345 1110 -64
1122 617 1056 -881 ** 1123 490 1091 2296 ** 1124 868 915 1717 ** 1125 839 941 785 ** 1126 641 1052 1047 ** 1127 894 895 1024
1128 829 953 3186 ** 1129 267 1124 902 ** 1130 878 915 -27 ** 1131 846 944 2971 ** 1132 376 1118 -440 ** 1133 704 1034 -1331
1134 226 1131 -163 ** 1135 687 1044 -512 ** 1136 157 1135 -1812 ** 1137 755 1013 281 ** 1138 386 1123 -251 ** 1139 198 1137 7874
1140 495 1108 4913 ** 1141 378 1127 686 ** 1142 831 971 486 ** 1143 286 1137 -802 ** 1144 674 1060 -4040 ** 1145 707 1047 -441
1146 864 951 2241 ** 1147 800 999 524 ** 1148 270 1143 -415 ** 1149 287 1143 -161 ** 1150 380 1136 -456 ** 1151 560 1105 -2674
1152 568 1104 512 ** 1153 329 1144 3304 ** 1154 852 972 8 ** 1155 288 1149 54 ** 1156 200 1154 4152 ** 1157 605 1099 -1531
1158 159 1157 -260 ** 1159 704 1065 -610 ** 1160 720 1059 -379 ** 1161 289 1155 -163 ** 1162 864 974 560 ** 1163 469 1137 -2315
1164 834 999 2241 ** 1165 739 1056 90 ** 1166 861 982 -1253 ** 1167 319 1159 25 ** 1168 518 1133 2163 ** 1169 160 1168 177
1170 692 1083 325 ** 1171 410 1154 1947 ** 1172 607 1115 -3970 ** 1173 366 1161 540 ** 1174 842 1007 993 ** 1175 345 1165 3625
1176 454 1153 -5465 ** 1177 810 1032 -13535 ** 1178 521 1143 -216 ** 1179 846 1011 -1728 ** 1180 161 1179 380 ** 1181 865 1000 -1884
1182 926 950 2792 ** 1183 918 959 776 ** 1184 590 1133 -1133 ** 1185 756 1072 161 ** 1186 542 1147 -755 ** 1187 233 1184 -638
1188 509 1156 27 ** 1189 323 1181 3261 ** 1190 899 986 1045 ** 1191 162 1190 343 ** 1192 814 1049 -3905 ** 1193 553 1152 -128
1194 787 1067 -1782 ** 1195 807 1057 -261 ** 1196 612 1140 12608 ** 1197 371 1185 937 ** 1198 718 1105 -4465 ** 1199 205 1197 -3899
1200 584 1152 -512 ** 1201 624 1142 -2311 ** 1202 163 1201 60 ** 1203 926 982 3483 ** 1204 945 966 343 ** 1205 906 1002 701
1206 312 1199 -5111 ** 1207 702 1122 487 ** 1208 206 1206 -720 ** 1209 402 1194 -1863 ** 1210 236 1207 1 ** 1211 327 1203 -1279
1212 768 1099 1997 ** 1213 164 1212 -475 ** 1214 809 1080 1215 ** 1215 585 1168 -1882 ** 1216 652 1150 2888 ** 1217 805 1086 1132
1218 404 1203 541 ** 1219 963 972 64 ** 1220 557 1180 7307 ** 1221 879 1045 -703 ** 1222 524 1189 955 ** 1223 479 1198 -64
1224 165 1223 -1268 ** 1225 823 1086 -198 ** 1226 377 1214 199 ** 1227 406 1212 539 ** 1228 843 1078 693 ** 1229 627 1172 -342
1230 447 1210 -8623 ** 1231 424 1214 -3977 ** 1232 696 1153 -2945 ** 1233 239 1230 -2582 ** 1234 649 1171 -1756 ** 1235 166 1234 -2325
1236 768 1128 -1728 ** 1237 803 1112 498 ** 1238 518 1207 4697 ** 1239 332 1231 11160 ** 1240 302 1234 -512 ** 1241 318 1234 2185
1242 484 1217 -729 ** 1243 689 1168 -494 ** 1244 582 1200 -2584 ** 1245 675 1175 -125 ** 1246 167 1245 -3652 ** 1247 615 1195 -2027
1248 644 1188 -1664 ** 1249 608 1199 1938 ** 1250 334 1242 808 ** 1251 817 1122 9890 ** 1252 499 1225 -2116 ** 1253 681 1182 -532
1254 930 1053 2187 ** 1255 962 1028 5295 ** 1256 539 1222 1349 ** 1257 168 1256 -5255 ** 1258 168 1257 2287 ** 1259 797 1142 118
1260 404 1246 1800 ** 1261 212 1259 -2526 ** 1262 844 1121 10583 ** 1263 784 1153 -434 ** 1264 605 1216 -3077 ** 1265 385 1253 -3277
1266 939 1063 -3970 ** 1267 841 1129 8153 ** 1268 885 1104 -6157 ** 1269 169 1268 468 ** 1270 865 1119 216 ** 1271 289 1266 -1154
1272 244 1269 755 ** 1273 364 1263 6426 ** 1274 407 1260 3681 ** 1275 583 1233 251 ** 1276 836 1143 4313 ** 1277 1006 1021 456
1278 976 1050 -2224 ** 1279 214 1277 -638 ** 1280 170 1279 -1639 ** 1281 170 1280 6041 ** 1282 594 1238 -88 ** 1283 894 1118 171
1284 646 1227 4085 ** 1285 733 1200 -8712 ** 1286 871 1136 1889 ** 1287 803 1173 559 ** 1288 410 1274 48 ** 1289 806 1174 -2071
1290 554 1255 1161 ** 1291 841 1159 -829 ** 1292 462 1272 2312 ** 1293 638 1239 -8234 ** 1294 1020 1034 4880 ** 1295 430 1279 -264
1296 639 1242 729 ** 1297 216 1295 2 ** 1298 632 1246 4688 ** 1299 884 1145 3170 ** 1300 604 1255 -5239 ** 1301 633 1249 -3485
1302 312 1296 1944 ** 1303 766 1208 -881 ** 1304 432 1288 1024 ** 1305 681 1240 2384 ** 1306 217 1304 -161 ** 1307 675 1244 -216
1308 763 1215 1790 ** 1309 947 1117 -107 ** 1310 495 1286 21969 ** 1311 1034 1047 5104 ** 1312 459 1293 -8 ** 1313 434 1297 -280
1314 173 1313 -1870 ** 1315 218 1313 -654 ** 1316 634 1265 -2233 ** 1317 847 1188 -82 ** 1318 754 1230 1368 ** 1319 504 1294 511
1320 790 1218 -3232 ** 1321 673 1260 1944 ** 1322 436 1306 -4224 ** 1323 477 1302 -1674 ** 1324 569 1288 343 ** 1325 174 1324 -5123
1326 664 1268 -1800 ** 1327 251 1324 -692 ** 1328 891 1178 -171 ** 1329 761 1240 -792 ** 1330 362 1321 -89 ** 1331 409 1318 330
1332 1013 1098 3979 ** 1333 220 1331 -2654 ** 1334 577 1297 2598 ** 1335 861 1203 567 ** 1336 727 1260 4473 ** 1337 175 1336 -678
1338 473 1318 -6777 ** 1339 598 1298 -1565 ** 1340 278 1336 -2008 ** 1341 364 1332 -91 ** 1342 221 1340 -4173 ** 1343 253 1340 2330
1344 1010 1118 -448 ** 1345 948 1165 108 ** 1346 432 1331 477 ** 1347 878 1209 442 ** 1348 921 1186 3375 ** 1349 176 1348 3581
1350 641 1300 279 ** 1351 254 1348 3295 ** 1352 484 1331 -1387 ** 1353 550 1322 729 ** 1354 1061 1088 6411 ** 1355 787 1260 -5528
1356 795 1258 629 ** 1357 922 1197 -3528 ** 1358 584 1321 -1153 ** 1359 941 1188 -3014 ** 1360 177 1359 -512 ** 1361 614 1318 3905
1362 515 1337 -700 ** 1363 891 1222 -1872 ** 1364 624 1319 1161 ** 1365 1030 1132 3157 ** 1366 706 1300 80 ** 1367 696 1304 1863
1368 1068 1103 1873 ** 1369 282 1365 -1484 ** 1370 639 1322 -2367 ** 1371 635 1324 -288 ** 1372 456 1355 -1843 ** 1373 870 1245 -2008
1374 438 1359 2673 ** 1375 795 1280 -2500 ** 1376 1080 1104 512 ** 1377 999 1173 1917 ** 1378 650 1328 -2400 ** 1379 225 1377 2681
1380 781 1291 7288 ** 1381 458 1364 885 ** 1382 892 1245 1555 ** 1383 179 1382 -1420 ** 1384 1075 1121 -332 ** 1385 1036 1156 2553
1386 850 1270 -7544 ** 1387 969 1207 -2349 ** 1388 226 1386 -560 ** 1389 645 1341 -4077 ** 1390 460 1373 883 ** 1391 259 1388 2420
1392 599 1354 -3375 ** 1393 772 1309 -820 ** 1394 180 1393 -6473 ** 1395 795 1303 -127 ** 1396 908 1254 -1240 ** 1397 562 1366 -2451
1398 495 1377 -216 ** 1399 780 1313 902 ** 1400 1083 1138 1141 ** 1401 1070 1151 -4750 ** 1402 375 1393 -3024 ** 1403 915 1259 -27
1404 979 1223 -3042 ** 1405 309 1400 1496 ** 1406 489 1386 791 ** 1407 261 1404 -702 ** 1408 346 1401 3375 ** 1409 754 1333 6828
1410 362 1402 6264 ** 1411 842 1303 -3284 ** 1412 506 1390 -6688 ** 1413 1079 1161 -323 ** 1414 347 1407 -2122 ** 1415 415 1403 -2827
1416 330 1410 1296 ** 1417 631 1374 -2502 ** 1418 182 1417 -649 ** 1419 617 1379 -4993 ** 1420 899 1288 -4571 ** 1421 956 1259 1666
1422 392 1412 632 ** 1423 1096 1161 4950 ** 1424 966 1257 2735 ** 1425 230 1423 -342 ** 1426 614 1387 -6371 ** 1427 634 1384 10275
1428 290 1424 12728 ** 1429 923 1287 -781 ** 1430 183 1429 1924 ** 1431 910 1296 -7345 ** 1432 460 1416 -1728 ** 1433 487 1414 2490
1434 231 1432 -5455 ** 1435 291 1431 -287 ** 1436 441 1422 287 ** 1437 1115 1165 -2547 ** 1438 971 1272 -14587 ** 1439 520 1416 223
1440 710 1380 1000 ** 1441 597 1406 1532 ** 1442 896 1316 -2744 ** 1443 232 1441 -10982 ** 1444 232 1442 6328 ** 1445 368 1437 -360
1446 315 1441 -460 ** 1447 383 1438 64 ** 1448 705 1390 5767 ** 1449 872 1335 -3374 ** 1450 1130 1171 4789 ** 1451 856 1344 -749
1452 911 1321 216 ** 1453 233 1451 489 ** 1454 531 1430 -3627 ** 1455 492 1436 6031 ** 1456 423 1444 3465 ** 1457 572 1427 262
1458 484 1440 8 ** 1459 742 1392 -1197 ** 1460 676 1410 -776 ** 1461 877 1347 125 ** 1462 502 1442 -5768 ** 1463 355 1456 -5844
1464 268 1461 1331 ** 1465 186 1464 -575 ** 1466 1036 1268 7208 ** 1467 486 1449 1458 ** 1468 987 1301 -3472 ** 1469 912 1341 -640
1470 1035 1274 6301 ** 1471 1043 1270 604 ** 1472 296 1468 -3520 ** 1473 1091 1238 974 ** 1474 469 1458 -1197 ** 1475 1004 1300 -1189
1476 488 1458 -8 ** 1477 187 1476 954 ** 1478 810 1392 -1936 ** 1479 522 1457 -2402 ** 1480 450 1466 4304 ** 1481 930 1347 1718
1482 1027 1295 -1890 ** 1483 851 1383 1649 ** 1484 768 1412 -3456 ** 1485 1002 1314 -27 ** 1486 733 1424 -6605 ** 1487 298 1483 -876
1488 1059 1282 125 ** 1489 1141 1220 -1052 ** 1490 843 1394 909 ** 1491 568 1463 3492 ** 1492 1081 1272 -2601 ** 1493 405 1483 -5555
1494 810 1410 -216 ** 1495 758 1427 1380 ** 1496 928 1366 -2712 ** 1497 272 1494 5041 ** 1498 783 1423 -4662 ** 1499 878 1391 -1124
1500 238 1498 736 ** 1501 596 1469 1056 ** 1502 300 1498 16 ** 1503 1107 1268 -2348 ** 1504 1023 1326 -1079 ** 1505 273 1502 -1800
1506 919 1382 -4311 ** 1507 476 1491 6896 ** 1508 850 1412 -3016 ** 1509 927 1382 2278 ** 1510 949 1373 -1466 ** 1511 190 1510 -14169
1512 980 1360 1728 ** 1513 190 1512 3969 ** 1514 190 1513 13047 ** 1515 1116 1278 27 ** 1516 380 1508 -4416 ** 1517 302 1513 -892
1518 728 1460 -520 ** 1519 240 1517 1946 ** 1520 346 1514 1520 ** 1521 1012 1354 169 ** 1522 381 1514 -2437 ** 1523 944 1391 -9188
1524 1041 1341 -918 ** 1525 982 1375 2582 ** 1526 932 1400 2008 ** 1527 1125 1288 2186 ** 1528 382 1520 -1016 ** 1529 1035 1351 -5537
1530 276 1527 2241 ** 1531 604 1499 928 ** 1532 518 1512 -792 ** 1533 1042 1352 -5859 ** 1534 383 1526 -159 ** 1535 623 1500 1008
1536 1173 1262 -2789 ** 1537 192 1536 4609 ** 1538 242 1536 1728 ** 1539 1219 1224 -64 ** 1540 384 1532 128 ** 1541 473 1526 28
1542 802 1466 -216 ** 1543 855 1450 -1368 ** 1544 368 1537 -1 ** 1545 960 1410 -3375 ** 1546 385 1538 -161 ** 1547 1108 1328 3059
1548 1215 1242 729 ** 1549 717 1496 -1600 ** 1550 921 1433 -4698 ** 1551 1225 1237 2473 ** 1552 386 1544 -1032 ** 1553 514 1534 1329
1554 999 1402 -343 ** 1555 563 1530 -1672 ** 1556 836 1471 449 ** 1557 244 1555 34 ** 1558 387 1550 -2491 ** 1559 733 1503 -3485
1560 443 1548 -899 ** 1561 194 1560 4097 ** 1562 516 1543 -1775 ** 1563 1152 1318 7307 ** 1564 747 1505 -1204 ** 1565 637 1529 3383
1566 958 1436 1728 ** 1567 1124 1344 1055 ** 1568 632 1533 27 ** 1569 859 1478 -4122 ** 1570 309 1566 -125 ** 1571 1055 1393 5579
1572 816 1495 377 ** 1573 1073 1385 1875 ** 1574 433 1563 3940 ** 1575 1039 1407 -4087 ** 1576 458 1563 -1483 ** 1577 862 1486 3849
1578 920 1466 1856 ** 1579 689 1534 3466 ** 1580 282 1577 -801 ** 1581 740 1525 3816 ** 1582 421 1572 -10341 ** 1583 1050 1411 7756
1584 781 1518 1331 ** 1585 865 1494 216 ** 1586 696 1540 520 ** 1587 660 1548 -5589 ** 1588 571 1563 -486 ** 1589 655 1551 943
1590 548 1568 -10024 ** 1591 896 1490 -4065 ** 1592 1204 1318 -408 ** 1593 312 1589 4060 ** 1594 557 1571 -8520 ** 1595 1122 1383 3140
1596 878 1502 2576 ** 1597 197 1596 1064 ** 1598 1235 1300 6317 ** 1599 424 1589 306 ** 1600 1001 1457 6006 ** 1601 1254 1287 2834
1602 856 1516 1096 ** 1603 1104 1405 5238 ** 1604 1140 1383 3977 ** 1605 249 1603 -1351 ** 1606 968 1479 -11455 ** 1607 338 1602 1863
1608 411 1599 -3618 ** 1609 198 1608 -575 ** 1610 972 1482 -1216 ** 1611 963 1487 -2519 ** 1612 1235 1321 892 ** 1613 699 1568 -1134
1614 339 1609 -4204 ** 1615 1048 1452 3375 ** 1616 315 1612 4093 ** 1617 1089 1432 -9424 ** 1618 756 1561 -1665 ** 1619 836 1541 -818
1620 571 1596 1853 ** 1621 538 1601 388 ** 1622 287 1619 -5714 ** 1623 1136 1411 -1620 ** 1624 564 1601 7679 ** 1625 858 1541 3492
1626 511 1609 16 ** 1627 698 1583 -11796 ** 1628 1161 1401 4670 ** 1629 456 1617 10260 ** 1630 946 1516 368 ** 1631 747 1577 2835
1632 1004 1494 -1880 ** 1633 430 1623 4770 ** 1634 252 1632 -2872 ** 1635 948 1521 7722 ** 1636 999 1501 -10044 ** 1637 400 1629 664
1638 1201 1386 2015 ** 1639 318 1635 -188 ** 1640 551 1619 190 ** 1641 1172 1411 -12258 ** 1642 961 1524 -8217 ** 1643 946 1531 -120
1644 1148 1431 -1799 ** 1645 1228 1375 -2602 ** 1646 859 1564 213 ** 1647 926 1543 -5760 ** 1648 1024 1504 -4096 ** 1649 951 1536 -1558
1650 803 1584 -1331 ** 1651 1142 1444 5779 ** 1652 385 1645 2058 ** 1653 684 1613 5176 ** 1654 745 1602 1431 ** 1655 419 1646 -7820
1656 768 1599 -1215 ** 1657 828 1585 216 ** 1658 202 1657 -489 ** 1659 644 1626 1819 ** 1660 1310 1325 1875 ** 1661 420 1652 -27
1662 625 1632 935 ** 1663 632 1632 -2689 ** 1664 949 1554 -6869 ** 1665 1002 1534 1313 ** 1666 626 1636 14464 ** 1667 368 1661 4150
1668 805 1603 6280 ** 1669 857 1590 -484 ** 1670 322 1666 456 ** 1671 1276 1373 18 ** 1672 844 1597 1691 ** 1673 654 1639 1834
1674 614 1646 344 ** 1675 1040 1529 -1014 ** 1676 747 1625 -4572 ** 1677 752 1625 1100 ** 1678 867 1597 216 ** 1679 828 1609 -3242
1680 407 1672 -3591 ** 1681 1018 1546 7073 ** 1682 650 1649 -881 ** 1683 257 1681 153 ** 1684 1249 1414 -5689 ** 1685 513 1669 -12881
1686 1282 1390 88 ** 1687 1043 1542 11108 ** 1688 467 1676 1333 ** 1689 1175 1473 577 ** 1690 1141 1495 404 ** 1691 1274 1404 -3717
1692 659 1658 -7603 ** 1693 938 1591 -2186 ** 1694 372 1688 -8136 ** 1695 455 1684 -504 ** 1696 493 1682 -8189 ** 1697 1323 1370 -2394
1698 564 1677 -1485 ** 1699 296 1696 -773 ** 1700 719 1656 -3375 ** 1701 482 1688 2261 ** 1702 1056 1554 -2672 ** 1703 1013 1574 -494
1704 547 1685 216 ** 1705 1125 1523 6833 ** 1706 1095 1540 7441 ** 1707 699 1667 181 ** 1708 849 1635 3988 ** 1709 327 1705 421
1710 1207 1480 2257 ** 1711 412 1703 -2024 ** 1712 1283 1427 2458 ** 1713 728 1668 -3887 ** 1714 974 1602 -7288 ** 1715 1191 1497 -469
1716 1035 1580 -179 ** 1717 1184 1504 -755 ** 1718 1280 1438 6560 ** 1719 1269 1448 2458 ** 1720 207 1719 298 ** 1721 207 1720 10618
1722 647 1691 -3346 ** 1723 1306 1424 6427 ** 1724 1211 1496 2557 ** 1725 570 1704 -1539 ** 1726 721 1683 828 ** 1727 627 1699 601
1728 852 1656 1728 ** 1729 1061 1584 8804 ** 1730 562 1710 1672 ** 1731 1278 1458 27 ** 1732 208 1731 -4635 ** 1733 1117 1562 -5104
1734 1087 1578 -3151 ** 1735 887 1654 2008 ** 1736 1217 1508 2431 ** 1737 898 1653 -316 ** 1738 1307 1445 1704 ** 1739 751 1691 -703
1740 665 1707 4132 ** 1741 998 1624 1405 ** 1742 449 1732 -3529 ** 1743 945 1645 -343 ** 1744 357 1739 -6928 ** 1745 209 1744 512
1746 940 1650 -64 ** 1747 1375 1398 -6444 ** 1748 990 1635 -883 ** 1749 380 1743 1342 ** 1750 1272 1489 6183 ** 1751 465 1740 -874
1752 264 1750 -3736 ** 1753 567 1733 677 ** 1754 492 1741 1555 ** 1755 1296 1478 -5813 ** 1756 333 1752 -7829 ** 1757 210 1756 -5123
1758 1038 1628 -512 ** 1759 1327 1459 -9883 ** 1760 1256 1514 6040 ** 1761 420 1753 1304 ** 1762 1398 1399 1737 ** 1763 1232 1534 1475
1764 334 1760 -3960 ** 1765 613 1740 1728 ** 1766 1321 1474 -489 ** 1767 1305 1488 -9234 ** 1768 468 1757 8507 ** 1769 854 1700 3745
1770 495 1757 532 ** 1771 211 1770 10080 ** 1772 335 1768 -559 ** 1773 1389 1425 9423 ** 1774 786 1721 -3193 ** 1775 590 1753 -4402
1776 1152 1597 -10405 ** 1777 305 1774 -1016 ** 1778 1104 1623 -1279 ** 1779 949 1684 286 ** 1780 1148 1604 1344 ** 1781 362 1776 8037
1782 655 1752 1385 ** 1783 1275 1532 3044 ** 1784 592 1762 888 ** 1785 1049 1655 4601 ** 1786 1013 1670 3459 ** 1787 1352 1479 -1044
1788 337 1784 4815 ** 1789 800 1734 17165 ** 1790 575 1770 -3375 ** 1791 1085 1647 523 ** 1792 268 1790 -2744 ** 1793 1186 1600 1401
1794 1370 1474 -3240 ** 1795 546 1778 587 ** 1796 929 1709 -2582 ** 1797 1406 1446 -7379 ** 1798 898 1720 -17200 ** 1799 706 1762 6855
1800 876 1728 -1728 ** 1801 1238 1580 129 ** 1802 725 1762 755 ** 1803 365 1798 -90 ** 1804 578 1784 7608 ** 1805 444 1796 405
1806 1055 1677 -2492 ** 1807 1142 1640 5655 ** 1808 1132 1646 8 ** 1809 829 1749 2591 ** 1810 761 1764 -1825 ** 1811 598 1789 -4530
1812 570 1793 2071 ** 1813 722 1774 -5075 ** 1814 1219 1608 6973 ** 1815 1102 1668 -4465 ** 1816 1331 1537 -2348 ** 1817 1123 1661 -10135
1818 462 1808 -1808 ** 1819 477 1808 -1186 ** 1820 920 1738 728 ** 1821 1199 1628 1910 ** 1822 271 1820 -6263 ** 1823 815 1767 729
1824 796 1772 -5760 ** 1825 1421 1475 2289 ** 1826 1102 1681 10527 ** 1827 1179 1646 3808 ** 1828 342 1824 9640 ** 1829 857 1764 -8748
1830 831 1771 -6202 ** 1831 574 1812 639 ** 1832 1294 1585 5559 ** 1833 854 1769 1064 ** 1834 850 1771 -307 ** 1835 413 1828 -2674
1836 1293 1591 -3772 ** 1837 1338 1561 15300 ** 1838 1303 1587 -1658 ** 1839 735 1799 1945 ** 1840 370 1835 -6875 ** 1841 1306 1589 6236
1842 521 1828 3375 ** 1843 1428 1496 -2581 ** 1844 1309 1591 4884 ** 1845 1403 1521 4537 ** 1846 217 1845 -702 ** 1847 534 1832 -3249
1848 1077 1717 -154 ** 1849 624 1825 1800 ** 1850 1163 1682 685 ** 1851 842 1791 -6308 ** 1852 1033 1738 -1 ** 1853 1331 1588 314
1854 1199 1669 -1044 ** 1855 416 1848 -2113 ** 1856 569 1838 -2465 ** 1857 1384 1554 -775 ** 1858 806 1806 -520 ** 1859 218 1858 1835
1860 453 1851 -1728 ** 1861 618 1838 -1123 ** 1862 1292 1626 4464 ** 1863 275 1861 5391 ** 1864 660 1836 -512 ** 1865 315 1862 -2178
1866 1329 1607 64 ** 1867 1199 1685 3639 ** 1868 347 1864 1565 ** 1869 799 1819 -749 ** 1870 903 1797 100 ** 1871 219 1870 -7148
1872 923 1794 2197 ** 1873 900 1801 216 ** 1874 583 1855 -1038 ** 1875 1103 1738 -2124 ** 1876 348 1872 -1664 ** 1877 1455 1523 -909
1878 515 1865 7652 ** 1879 1145 1725 -2311 ** 1880 679 1850 161 ** 1881 1168 1717 -1604 ** 1882 1316 1637 -3381 ** 1883 980 1790 1387
1884 1298 1651 2061 ** 1885 376 1880 -251 ** 1886 1046 1772 -2528 ** 1887 1409 1577 23141 ** 1888 624 1865 -1177 ** 1889 1265 1677 -1989
1890 1225 1700 3375 ** 1891 755 1850 -2904 ** 1892 1351 1627 -1146 ** 1893 1416 1580 -2339 ** 1894 1409 1587 -4948 ** 1895 1280 1676 -3401
1896 1075 1773 -2656 ** 1897 459 1888 -378 ** 1898 870 1835 1917 ** 1899 1418 1587 64 ** 1900 578 1882 -1520 ** 1901 1327 1655 -3457
1902 423 1895 3466 ** 1903 677 1874 -3030 ** 1904 645 1879 700 ** 1905 1512 1512 -6831 ** 1906 1445 1575 4916 ** 1907 477 1897 -2963
1908 1184 1742 -2680 ** 1909 569 1892 -11868 ** 1910 1294 1687 1113 ** 1911 493 1900 -2126 ** 1912 1100 1782 -1240 ** 1913 861 1853 639
1914 280 1912 5416 ** 1915 380 1910 -7125 ** 1916 1290 1697 18423 ** 1917 404 1911 1918 ** 1918 1500 1544 -4552 ** 1919 479 1909 -109
1920 1056 1807 -559 ** 1921 1241 1730 -4560 ** 1922 973 1835 4256 ** 1923 891 1857 -297 ** 1924 281 1922 -465 ** 1925 480 1915 250
1926 1325 1689 1882 ** 1927 594 1908 -4913 ** 1928 464 1919 -1151 ** 1929 1473 1585 647 ** 1930 1382 1657 1639 ** 1931 481 1921 -111
1932 615 1911 162 ** 1933 355 1929 6273 ** 1934 1401 1649 1854 ** 1935 748 1897 5110 ** 1936 224 1935 -943 ** 1937 482 1927 -1198
1938 644 1914 -4256 ** 1939 626 1917 22430 ** 1940 1033 1837 -2190 ** 1941 356 1937 -1348 ** 1942 716 1909 -5237 ** 1943 1237 1759 1275
1944 1110 1815 -8991 ** 1945 757 1906 116 ** 1946 449 1938 -5985 ** 1947 646 1923 1520 ** 1948 1422 1653 7867 ** 1949 225 1948 -668
1950 853 1894 -461 ** 1951 1414 1663 1160 ** 1952 1171 1800 -9803 ** 1953 385 1948 160 ** 1954 1381 1690 323 ** 1955 740 1919 316
1956 648 1932 3456 ** 1957 1216 1786 -6859 ** 1958 1301 1744 -2773 ** 1959 1362 1709 3322 ** 1960 1406 1681 343 ** 1961 1245 1777 1123
1962 226 1961 -729 ** 1963 699 1933 -1989 ** 1964 1512 1603 -3611 ** 1965 650 1941 1504 ** 1966 1484 1630 1792 ** 1967 970 1885 -4062
1968 1244 1786 792 ** 1969 1541 1584 8084 ** 1970 817 1922 5039 ** 1971 952 1894 -4781 ** 1972 1370 1721 687 ** 1973 1526 1604 -2123
1974 1403 1702 189 ** 1975 227 1974 -1132 ** 1976 634 1954 3408 ** 1977 1131 1845 4617 ** 1978 739 1943 1126 ** 1979 881 1919 4339
1980 1336 1752 -64 ** 1981 1345 1748 -476 ** 1982 361 1978 -1065 ** 1983 1055 1878 -440 ** 1984 1232 1811 -1995 ** 1985 1241 1808 -8
1986 827 1937 20 ** 1987 1371 1740 -8 ** 1988 1010 1897 -1 ** 1989 1295 1786 1638 ** 1990 1028 1894 64 ** 1991 390 1986 -6985
1992 1080 1880 -512 ** 1993 1001 1905 -1969 ** 1994 597 1976 -2565 ** 1995 909 1930 3446 ** 1996 722 1964 -456 ** 1997 437 1990 1520
1998 715 1967 54 ** 1999 598 1981 -334 ** 2000 1092 1885 187 ** 2001 1339 1777 349 ** 2002 229 2001 9018 ** 2003 620 1983 -3060
2004 599 1986 1009 ** 2005 610 1986 -4131 ** 2006 1559 1624 -2287 ** 2007 289 2005 6649 ** 2008 1479 1694 -4111 ** 2009 600 1991 1458
2010 1068 1904 3304 ** 2011 733 1978 1142 ** 2012 932 1943 -647 ** 2013 829 1965 -13717 ** 2014 601 1996 1007 ** 2015 365 2011 -1081
2016 1515 1677 -1512 ** 2017 963 1941 1945 ** 2018 873 1962 2087 ** 2019 602 2001 -350 ** 2020 1582 1624 8 ** 2021 1072 1915 -5862
2022 479 2013 -3788 ** 2023 721 1992 -2682 ** 2024 672 1999 -623 ** 2025 654 2002 15353 ** 2026 1513 1693 1322 ** 2027 333 2024 -2178
2028 1542 1672 -2584 ** 2029 730 1997 -584 ** 2030 1091 1919 -4130 ** 2031 462 2023 -1504 ** 2032 1388 1788 -2176 ** 2033 1513 1703 1313
2034 498 2024 -512 ** 2035 888 1977 3970 ** 2036 1129 1913 -2530 ** 2037 863 1984 -2898 ** 2038 292 2036 -872 ** 2039 421 2033 -3079
2040 515 2029 2736 ** 2041 482 2032 -2015 ** 2042 676 2017 3399 ** 2043 1165 1908 1070 ** 2044 865 1991 1288 ** 2045 1282 1861 2976
2046 763 2010 -2611 ** 2047 711 2018 -17440 ** 2048 1389 1808 1611 ** 2049 1059 1950 270 ** 2050 764 2014 2512 ** 2051 867 1998 296
2052 445 2045 2358 ** 2053 1036 1961 1540 ** 2054 233 2053 1250 ** 2055 547 2042 -9036 ** 2056 1515 1734 10837 ** 2057 1383 1823 1539
2058 869 2005 -5922 ** 2059 294 2057 2 ** 2060 842 2012 2584 ** 2061 424 2055 11582 ** 2062 662 2039 -519 ** 2063 1598 1675 -17020
2064 467 2056 -1035 ** 2065 1378 1836 -2583 ** 2066 588 2050 1024 ** 2067 234 2066 -1637 ** 2068 400 2063 -5615 ** 2069 1167 1937 6093
2070 1615 1670 -3375 ** 2071 1237 1912 2330 ** 2072 1614 1674 3680 ** 2073 1562 1721 -1672 ** 2074 770 2038 9352 ** 2075 1597 1694 5318
2076 952 2007 -775 ** 2077 1510 1767 -5130 ** 2078 771 2042 6453 ** 2079 578 2064 343 ** 2080 537 2068 -585 ** 2081 1420 1832 7073
2082 1158 1955 181 ** 2083 743 2051 -5271 ** 2084 1299 1900 -5195 ** 2085 1521 1770 -12636 ** 2086 1377 1863 -224 ** 2087 1296 1905 -2458
2088 1468 1811 -4491 ** 2089 1584 1726 1089 ** 2090 428 2084 -2456 ** 2091 1138 1972 -2549 ** 2092 1120 1979 -2051 ** 2093 1568 1745 7300
2094 628 2075 1557 ** 2095 1537 1772 -5426 ** 2096 1361 1884 -3249 ** 2097 1223 1948 6714 ** 2098 1553 1764 -5929 ** 2099 629 2080 6110
2100 1022 2016 -2744 ** 2101 1494 1811 -214 ** 2102 1546 1775 6497 ** 2103 913 2044 -2954 ** 2104 1351 1899 -1386 ** 2105 1624 1715 8126
2106 1664 1679 -5767 ** 2107 237 2106 -26 ** 2108 1090 2006 -1504 ** 2109 542 2097 -5732 ** 2110 700 2084 2296 ** 2111 1646 1704 -2169
2112 431 2106 -1079 ** 2113 890 2059 -3482 ** 2114 1312 1930 -2784 ** 2115 973 2044 2374 ** 2116 1482 1839 -7991 ** 2117 475 2109 -17291
2118 674 2095 -2367 ** 2119 343 2116 656 ** 2120 622 2102 944 ** 2121 1025 2038 8064 ** 2122 1347 1923 -6542 ** 2123 829 2080 78
2124 737 2094 487 ** 2125 888 2072 -1195 ** 2126 1166 2002 -9928 ** 2127 1023 2045 -17909 ** 2128 704 2102 2280 ** 2129 574 2115 2590
2130 1452 1876 -9784 ** 2131 805 2092 -8722 ** 2132 825 2090 -657 ** 2133 1395 1912 -766 ** 2134 1071 2040 -2807 ** 2135 1113 2029 -9911
2136 966 2068 4328 ** 2137 658 2116 -1855 ** 2138 962 2071 11033 ** 2139 1305 1963 647 ** 2140 814 2100 -9144 ** 2141 1642 1753 3156
2142 1607 1784 -6559 ** 2143 1187 2014 -6740 ** 2144 638 2125 4787 ** 2145 516 2135 154 ** 2146 410 2141 -2085 ** 2147 240 2146 -1613
2148 690 2124 -5832 ** 2149 639 2130 -170 ** 2150 1399 1931 13310 ** 2151 700 2126 -7425 ** 2152 1213 2015 11836 ** 2153 1235 2008 -1810
2154 303 2152 -5671 ** 2155 1619 1793 -10041 ** 2156 347 2153 -5084 ** 2157 565 2144 -216 ** 2158 1506 1879 -8343 ** 2159 1454 1912 -1513
2160 1307 1987 2754 ** 2161 969 2094 -512 ** 2162 693 2138 10899 ** 2163 1287 1999 -8155 ** 2164 1576 1839 3249 ** 2165 619 2148 -326
2166 1015 2089 952 ** 2167 1121 2062 -5426 ** 2168 1301 1999 5732 ** 2169 1329 1988 -3752 ** 2170 981 2101 558 ** 2171 439 2165 -433
2172 977 2104 -3249 ** 2173 1615 1822 4094 ** 2174 242 2173 -181 ** 2175 1262 2023 6480 ** 2176 1574 1857 -9241 ** 2177 1278 2019 9422
2178 1298 2012 2432 ** 2179 1592 1848 2459 ** 2180 1399 1968 -3431 ** 2181 1024 2103 7190 ** 2182 504 2173 -3213 ** 2183 1225 2046 3526
2184 1147 2073 -1036 ** 2185 1475 1933 1513 ** 2186 1212 2054 -2736 ** 2187 726 2160 27 ** 2188 243 2187 6562 ** 2189 658 2169 -5852
2190 1014 2115 -2619 ** 2191 486 2183 128 ** 2192 872 2145 8415 ** 2193 1372 1997 -1764 ** 2194 659 2174 2181 ** 2195 506 2186 -197
2196 541 2185 3490 ** 2197 307 2195 55 ** 2198 1294 2037 1555 ** 2199 1269 2048 3898 ** 2200 1272 2048 -10240 ** 2201 244 2200 -183
2202 1352 2017 1287 ** 2203 1031 2125 3511 ** 2204 614 2188 1448 ** 2205 730 2178 4373 ** 2206 1485 1954 27 ** 2207 1482 1957 -2918
2208 508 2199 -199 ** 2209 928 2153 1000 ** 2210 1241 2071 16568 ** 2211 1569 1908 11610 ** 2212 1395 2009 524 ** 2213 684 2191 10222
2214 732 2187 -27 ** 2215 245 2214 5906 ** 2216 1541 1933 -2962 ** 2217 419 2212 126 ** 2218 490 2210 -5768 ** 2219 309 2217 13517
2220 1601 1898 407 ** 2221 1140 2116 -1035 ** 2222 1074 2135 1449 ** 2223 446 2217 -5282 ** 2224 1675 1847 1126 ** 2225 1435 2005 2625
2226 1718 1813 6147 ** 2227 470 2220 83 ** 2228 246 2227 -1667 ** 2229 1549 1945 -785 ** 2230 1307 2069 -8952 ** 2231 355 2228 -2836
2232 1632 1892 -1088 ** 2233 644 2215 4978 ** 2234 1758 1788 1520 ** 2235 1544 1956 -125 ** 2236 1755 1794 2197 ** 2237 728 2211 -22230
2238 448 2232 -1288 ** 2239 531 2229 1639 ** 2240 311 2238 -1503 ** 2241 1215 2115 -729 ** 2242 690 2220 -512 ** 2243 1158 2135 -3780
2244 1234 2112 -7048 ** 2245 1660 1889 1756 ** 2246 1551 1966 -911 ** 2247 622 2231 -11016 ** 2248 1058 2167 -1583 ** 2249 581 2236 1052
2250 357 2247 2484 ** 2251 849 2210 -1798 ** 2252 495 2244 -3151 ** 2253 450 2247 54 ** 2254 1034 2179 -5579 ** 2255 1544 1982 -3977
2256 857 2214 -5921 ** 2257 1230 2128 441 ** 2258 1579 1964 629 ** 2259 1383 2071 7181 ** 2260 1756 1830 -216 ** 2261 313 2259 -18695
2262 313 2260 8431 ** 2263 980 2200 13447 ** 2264 752 2236 -3520 ** 2265 705 2242 512 ** 2266 933 2212 -1269 ** 2267 1327 2104 -5484
2268 452 2262 -1304 ** 2269 249 2268 28 ** 2270 1754 1847 1513 ** 2271 1708 1888 2527 ** 2272 1339 2105 -1196 ** 2273 754 2245 3228
2274 1510 2026 2248 ** 2275 1625 1956 434 ** 2276 772 2246 -2008 ** 2277 1092 2190 -1755 ** 2278 586 2265 -729 ** 2279 1055 2201 -4337
2280 1703 1905 3448 ** 2281 641 2264 3576 ** 2282 756 2254 5488 ** 2283 250 2282 4419 ** 2284 478 2277 -981 ** 2285 654 2267 4698
2286 572 2274 -6416 ** 2287 1002 2221 2034 ** 2288 1646 1959 657 ** 2289 710 2266 -4527 ** 2290 1427 2088 2045 ** 2291 838 2253 -578
2292 1332 2131 629 ** 2293 929 2241 -853 ** 2294 690 2273 -1233 ** 2295 1665 1955 8875 ** 2296 540 2286 -3320 ** 2297 1065 2218 -1784
2298 574 2286 -1288 ** 2299 1119 2207 4997 ** 2300 1579 2019 -398 ** 2301 1135 2205 -23599 ** 2302 1189 2191 -532 ** 2303 399 2299 14029
2304 575 2292 1 ** 2305 1286 2163 -3778 ** 2306 1187 2196 -3123 ** 2307 1032 2236 3419 ** 2308 1704 1944 64 ** 2309 1218 2190 -1603

Proof Analytic useful table and revealing Special Murgu Quadruplets.
Fermat Murgu Quadruplets Table




Proof Analytic useful table , can light about all aspects on.
This Table (Fermat Murgu Quadruplets) lead to any separations in :
Ordinary Quadruplets Including
Z 3 - X3 - Y 3 = W or -W   W ≠ T 3 and not 1 or -1

Special Murgu Quadruplets Generators
Z 3 - X3 - Y 3 = 1 or -1

Special Murgu Quadruplets
W3(Z 3 - X3 - Y 3 ) = W3

Murgu Perfect Quadruplets
Z 3 - X3 - Y 3 = W3
Down is a Example Table for a part of Special Murgu Quadruplets Generators.


 
  — Z  —    — X  —    — Y  —  Fmin X,Y,Z
9 8 6 1
12 10 9 -1
103 94 64 -1
144 71 138 1
150 73 144 -1
172 138 135 1
249 235 135 -1
495438 334 -1
505 426 372 1
577 486 426 1
729 242 720 1
738 244 729 -1
904 566 823 1
1010 791 812 1

Special Murgu Quadruplets Generators Table.


Maybe more Important then all are Murgu Perfect Quadruplets which are not coming via Generators.
As next Math Beauty and will rival Pythagorean Triples
even will execed in Beauty.
Z 3 - X3 - Y 3 = W3


 
  — Z  —    — X  —    — Y  —    — W  — 
60 22 59 -3
5448 36 6
72 54 60 -6
84 70 63 -7
102 45 99 -6
132 123 76 5
186 59 184 -3
300146 288 -2
318 262 242 6
372 118 368 -6
378 340 245 3
414 334 323 -3
432 213 414 3
450 219 432 -3
498 470 270 -2

USA Murgu Perfect Quadruplets, maybe The Beauty of all Quadruplets as are not backed by generators.
We extracted a part of them and can't say are or not infinity.


Proof Analytic useful table and even Fermat Murgu Quadruplets can say a lot about Fermat's Last Theorem Proof.
Maybe even Mathematicians will write books for.
I want to make a single Remark, which can be Important for future.
Long Time ago when I followed a Proof presentation by biggest Mathematicians, a big part of it was 5 as proof of modularity.
Mathematic Remark
Into Proof Analytic useful table , yet, and repeat yet, I didn't meet 5 , and neither 3. Then for Mathematics Curiosity we get attention to:
Z3 - X3 - Y3 # 5
Z3 - X3 - Y3 # 3
Z3 - X3 - Y3 # 4
Z3 - X3 - Y3 # 23
for every {Z,X,Y} Integers.
Nobody can even verrify it to Infinity, but is a issue as Fermat's Last Theorem Proof , in found atacked this asspect .


Murgu Quadruplets.


     As Intuited , Special Murgu Quadruplets are generated by Fermat Murgu Quadruplets for W=1 or -1.
Are Infinity and included in Quadruplets Group how as values are different entities.


 
  — Z  —    — X  —    — Y  —  U
9 U3 8U3 6U3 U3
12U3 10U3 9U3 -U3
103U3 94U3 64U3 -U3
144U3 71U3 138U3 U3
150U3 73U3 144U3 -U3
172U3 138U3 135U3 U3
249U3 235U3 135U3 -U3
495U3438U3 334U3 -U3
505U3 426U3 372U3 U3
577U3 486U3 426U3 U3
729U3 242U3 720U3 U3
738U3 244U3 729U3 -U3

Special Murgu Quadruplets Table.


This Table Incomplete (never complete, but exist) , born
Murgu Special Quadruplets Equations Generators
X3I3 + Y3I3 - Z3I3 = I3  MQ.1.

X3I3 + Y3I3 - Z3I3 = -I3  MQ.2.
wich can lead to a False Ideea OF Modularity.

By Now False because of Unknown X,Y,Z repartition, not a functional leading for.


Special Murgu Quadruplets Equations



Normal MQ.1. and MQ.2. will lead to a general forms wearing any beauty but issues also.
Z3 - X3 - Y3 = W3  MQ.3.
Z3 - X3 - Y3 = -W3  MQ.4.
Those Equations and Murgu Perfect Quadruplets are coming with nice issues which I will leave for Mathematicians to debate,
But will want to remark one which is an instinctual beauty:
Mathematic Relativity via
Relativity Of Solutions
and also
Z3 - X3 = Y3 + W3  MQ.5.
Z3 + W3 = X3 + Y3  MQ.6.

We know neither left or right side can be T3 but only an pure T.



That can remind of Murgu Pythagorean Triples Conditional, but for power 3.

Also, MQ.1. and MQ.2. Cover a Part (X,Y,Z) , but everyone is Infinity , like creating its proper Math Universe.
Writing those in General Forms bring a sense of apparent Modularity but also a Question as Issue.
First One: Are Murgu Quadruplets only of Forms MQ.1 and MQ.2.
The Answer is NOT.


Perfect Murgu Quadruplets.


Fermat Murgu brQuadruplets Table
reveal also 2 new types of Quadruplets.
Rudimentary Murgu Quadruplets
Z3 - X3 - Y3 = k  MQ.7.
Z3 - X3 - Y3 = -k  MQ.8.
where k can't be write as k=l3
Example
73 - 63 - 53 = 2
2043 - 1823 - 1353 = 721

AND
Murgu Quadruplets
Z3 - X3 - Y3 = W3  MQ.9.
Z3 - X3 - Y3 = -W3  MQ.10.
For which (X,Y,Z and W) not divisible in the same time with any (l3).
EXAMPLES:
413 - 173 - 403 = 8
603 - 223 - 593 = -27
7833 - 7183 - 4793 = 216
In this part the sign can be inverse , but imporatant for us is theoretical result.
Table of Murgu Perfect Quadruplets is above , is incomplete , but speak.


Rudimentary Murgu Quadruplets, Special Murgu Quadruplets and Murgu Perfect Quadruplets Induce
Modularity Theory Ambiguity related to:
Fermat's Last Theorem.
Murgu Perfect Quadruplets maybe are with all rights to speak about Modularity.
But Mathematicians can decide if implay those in an Analytic for.


Thanks for coffe, and Good Morning Future! for all.

For turn Back to Intro Click here





Fermat's Last Theorem End
as SOLVED but
Fermat's Last Theorem is back for Beauty Of Science
Already get a part of it which are connected to solutions, but also
Independent States


Murgu The Lost Fundamental Operator applied to Fermat's Last Theorem
Brought, (to hope last) final Definition for IRRATIONALs


Murgu Irrationals Integrators.





A Irrational is a Numeric Entity which can evolve to a Rational Or Integer, only and only, via Multiple Multiplay with Itself which mean also leading to Its Form.
(ir) = n √X     where X Integer Or Rational and n Multiplay Number

The fact we will meet it in calculus as unknown do not exclude definition. Every Time can make The Connection.




First need to make a return To EME1E1 :
(X/Z)n + (Y/Z)n - 1 = 0 EME1E1
write as (A+B=1), and to observe B is a Complement to Unity for A , and A for B. This bring a Util Tool in Math as writing
A = 1 - B and B = 1 - A
An = (1 - B)n
Bn = (1 - A)n
Are Fermat's Last Theorem Equations , but see now A And B as complements to Unity one to another , and in calculus may need it.
Now as we know Fermat's Last Theorem Equations solutions are Irrationals or Combinations with Integers Or Rationals where at last one is Irrational, we can use it as Irrational Integrators using an absolute Truth Equation
U + V = W into Integers
writing it as
(nU)n + (nV)n = (nW)n Murgu 1St Equation Of Irrational Integrators
At first luck seem absurd, but via this eqution and leraning to work with God Equations Of Balance and in any cases with Murgu The Lost Fundamental Operator we can put irrational in Connections which may be util in any situations.

27 + 125 = 152 a valid equality
An example which for power n=3 give a subtle senzation as integers may "equal" a Irrational but this equality for power n=3 is
(327)3 + (3125)3 = (3152)3
(3152)3 is a Integer and above formula a relational one.
Is not to much there but is about to Integrate Irrationals Maybe a good thing to remark (3152) equl with around of 5.3367.. as top see or image Murgu dispersion formula acting.


More convincing about Integrate Irrationals can be , in a form like above
(sorry for naming ans renaming, but any time this help not only to memorize but to "view inside")

Murgu 2nd Equations Of Irrational Integrators
An = (1 - B)n
Bn = (1 - A)n

Those are coming from
(nU)n/(nW)n + (nV)n/(nW)n = 1 Murgu 1St Equation Of Irrational Integrators
Repeat , (a+b=c) must be True as
256 + 6561 = 6817
Can be used for all Powers including power 2 if not qualify as Pythagorean Triple.
Also we can use extraction , to say (a) 256 extraction from infinity anothers equalities a=c-b .
256 + 6563 = 6819 as example.
Murgu Irrationals Integrator expose Irrational relations between and with Rationals and Integers. But may be enough to define all.



We can write a Book about , coming with examples, but here
To Hope we Get Essence.
Irrationl Field True Definition.




Fermat Equations INTEGRATED relational IRRATIONAL FIELD

Fermat Equations - IRRATIONAL FIELD - ANALYTIC IMPLEMENTATION.

This material claim revised in time, or if any Mathematicin will consider important, can to join to it, in his name.
Fermat - Murgu Impossible Equations brought an Absolute Conditional
n(Xn) + n(Yn) =n(Zn)
Do not simplyfy: Ion Murgu - Double False Redundancy Of Truth demonstrated any times simplify modify equations quality.
Then witouth any doubts for n>2 those Conditional Equations Claim for Fermat's Last Theorem as (X,Y,Z) to be all Irrationals or two of them or one. This SENT Fermat's Last Theorem in FUNDAMENTAL, but also brought the ideea for covering all Irrational Field.
Irrational Infinity seem to be more then n times Integers Infinity
Infinity Paradox

Gratitude to - AMERICA 2015 TWO FUNDAMENTALS - now we can define analytic IRRATIONAL FIELD. To understood it need to understood AMERICA EARTH PROUD DAY FUNDAMENTALS presented in first maybe 10 pages in "InfinityDivergentConjecture.pdf". For it we will define a Irrational Number by its new point of view coming from above:
An irrational number is a number that cannot evolve into an integer or rational number except only by multiple multiplications with itself.
    Then , that lead us to Special Irrationals :

(nn)
for n ∈ [2,∞)

    and also to Orinary Irrationals :
(nk)
for n ∈ [2,∞) and k Rationals or Integers ∈ (0, ∞) but k ≠ h*n ; with h integer.

For n on negative axle appear a simple aspect which will born anothers kind of irrationals.
But also very important for analytic are subunitary Irrationals which deffine for an subunitary Irrational its Complementary Relative to Unity (1 - g) where g is a subunitary Irrational.
But it can be extended to all Irrationals as (1 - k + l) where k is an irrational and l its integer part. All of it born
Ion Murgu - Euler - Murgu Equations 1=1 .
which also Certify Fermat's Last Theorem for n=2 to ∞ .

We defined all Irrational Field Analytic , but knowing Fermat's Last Theorem now is Fundamental in Science and Mathematics - we know solutions for Fermat Equations are Irrationals for n ∈ [2, ∞) - we can say:

Fermat Equations Integrated Relational Irrational Field

Fermat Equations are Xn + Yn = Zn
to associate to those equations a linear Equations into Integers
A + B + = C (ex: 9 + 12 = 21 ) a identities
Now if consider this Identities a Fermat Equations, then X = nA Y = nB Z = nC and function of case , one, two or all can be Irrationals. This will connect all Irrationals into Relationals Identities but also Irrationals - Integers and Irrationals - Rationals. This isn't a Big Thing , but can help any time any Logical Analytic.

Any time banality can bring any ideas! Then I will come with a banal example for n=2 but which can give you a ideea ..

To name this example:
Banal Vision for Power 2 Balance.


(√ 3 -1)(√ 3 +1)=2 ... ... .. (√ 3 -√ 2)(√ 3 +√ 2)= 1
(√ 5 -1)(√ 5 +1)=4 ... ... .. (√ 5 -√ 4)(√ 5 +√ 4)= 1
(√ 7 -1)(√ 7 +1)=6 ... ... (√ 7 -√ 6)(√ 7 +√ 6)= 1
(√ 9 -1)(√ 9 +1)=8 ... ... (√ 9 -√ 8)(√ 9 +√ 8)= 1
... ...
(√(2n+1) -1)(√ (2n+1) +1)=2n ... ... (√ (2n+1) -√ 2n)(√(2n+1) +√2n)= 1

For turn Back to Intro Click here



Murgu Series Identities
are not used yet but have theirs beuty and for sure will be
at the last in polinomials and even equations.
THEN Theirs IMPORTANCE became TOP ONE.



     Murgu Series Identities are results of Murgu The Lost Fundamental and God Equations Of Blance, are Infinity To infinity but maybe only a few will be used.
Maybe into The Future will get more use , but here and now we will admire theirs beauty.
    From Murgu The Lost Fundamental :
|X2 -2(X+1)2 + (X+2)2| =2
|X3 -3(X+1)2 + 3(X+2)3 - (X+3)3| = 6
|X4 - 4(X+1)4 + 6(X+2)4 - 4(X+3)4 + (X+4)4| = 24
|X5 - 5(X+1)5 + 10(X+2)5 - 10(X+3)5 + 5(X+4)5 - (X+5)5| = 120
|X6-6(X+1)6+15(X+2)6-20(X+3)6+ 15(X+4)6-6(X+5)6+(X+6)5| = 720
|X7-7(X+1)7+21(X+2)7-35(X+3)7+ 35(X+4)7-21(X+5)7+7(X+5)7-(X+7)7| = 5040
|X8-8(X+1)8+28(X+2)8-56(X+3)8+ 70(X+4)8-56(X+5)8+28(X+6)8-8(X+7)8+(X+8)8| = 40320
......................................
IMAGE It going to Infinity:

Murgu The Lost Fundamental

OR AS




Murgu The Lost Fundamental

This is not affected by Numeration System.
Also (X) can be any Integer , result will be the same.
Repeat Murgu The Lost Fundamental as Operator is valid in All Real Numbers and then can be use , but with care about signs when used. Maybe good to remark functional symmetry for future analyze.
Are Series Identities , but for it can be use in powers equations and polinomials.



God Equations Of Blance also bring Infinity , but will be used only a few.
|X3 -3(X+1)2 + 3(X+2)3 - (X+3)3| = 3(|X2 -2(X+1)2 + (X+2)2|)
|X4 - 4(X+1)4 + 6(X+2)4 - 4(X+3)4 + (X+4)4| = 4(|X3 -3(X+1)2 + 3(X+2)3 - (X+3)3|)
|X4 - 4(X+1)4 + 6(X+2)4 - 4(X+3)4 + (X+4)4| = 12(|X2 -2(X+1)2 + (X+2)2|)
|X5 - 5(X+1)5 + 10(X+2)5 - 10(X+3)5 + 5(X+4)5 - (X+5)5| = 5(|X4 - 4(X+1)4 + 6(X+2)4 - 4(X+3)4 + (X+4)4|)
|X5 - 5(X+1)5 + 10(X+2)5 - 10(X+3)5 + 5(X+4)5 - (X+5)5| = 20(|X3 -3(X+1)2 + 3(X+2)3 - (X+3)3|) br |X5 - 5(X+1)5 + 10(X+2)5 - 10(X+3)5 + 5(X+4)5 - (X+5)5| = 60(|X2 -2(X+1)2 + (x+2)2|)
..........................



- Murgu Series Identities -
ARE Very Important for all Science
can be used in equations and polinomials in all Real Field.



- Murgu Series Identities -
are absolute new and possible via
- Murgu The Lost Fundamental - Knowledge Labyrinth Extraction and Unknown Until 2015
and bring via FMIE , Unique Correct Solution for
- Fermat's Last Theorem - general case and certified also by
- Euler - Murgu Equations 1 Equal 1 -

Proof for Fermat's Last Theorem chose wrong method as need to prov with all Integers Values Fermat Equations are Equal or Not Equal as neither more exposed value 5 seem to not.



For turn Back to Intro Click here



Murgu Integers Cubic Dispersion Formula
(X+1)3 - 2((X)3 ) + (X-1)3 = 6(X)